版块导航
正在加载中...
客户端APP下载
论文辅导
申博辅导
登录
注册
帖子
帖子
用户
本版
应《网络安全法》要求,自2017年10月1日起,未进行实名认证将不得使用互联网跟帖服务。为保障您的帐号能够正常使用,请尽快对帐号进行手机号验证,感谢您的理解与支持!
24小时热门版块排行榜
>
论坛更新日志
(3351)
>
虫友互识
(349)
>
文献求助
(342)
>
导师招生
(300)
>
论文投稿
(153)
>
休闲灌水
(152)
>
考博
(140)
>
基金申请
(98)
>
硕博家园
(85)
>
博后之家
(66)
>
论文道贺祈福
(53)
>
教师之家
(52)
>
招聘信息布告栏
(49)
>
绿色求助(高悬赏)
(32)
>
公派出国
(32)
>
找工作
(30)
小木虫论坛-学术科研互动平台
»
化学化工区
»
催化
»
理论交流
»
请教一下,吸附动力学问题~
2
1/1
返回列表
查看: 489 | 回复: 1
只看楼主
@他人
存档
新回复提醒
(忽略)
收藏
在APP中查看
沧海茫茫
木虫
(正式写手)
应助: 26
(小学生)
金币: 3575.5
红花: 1
帖子: 760
在线: 163.7小时
虫号: 1569068
注册: 2012-01-08
性别: GG
专业: 食品科学基础
[
求助
]
请教一下,吸附动力学问题~
已有1人参与
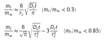
请教一下,图片中的公式代表是什么意思,怎么和动力学曲线对应?动力学曲线图中,确定压力和温度,这个压力怎么确定的?不胜感激~
公式.jpg
动力学曲线.jpg
回复此楼
» 本帖@通知
@
andyyyu
@
ecustliuchao
@
上官小仙
@
fatewu
@
guoxg701
@
kinkilyou
@
qixingzhen
@
readytogo
@
sheihk
...
查看更多
@
superleo8936
@
zyhou
» 猜你喜欢
国家级人才团体课题组招收2026届博士
已经有1人回复
气相色谱点不着火
已经有4人回复
物理化学论文润色/翻译怎么收费?
已经有242人回复
化工安全有关的复习提纲
已经有0人回复
国家级人才课题组招收2026年入学博士
已经有2人回复
散金
已经有88人回复
浙江师范大学国家杰青杨启华教授团队招收2026年博士研究生
已经有34人回复
南通大学电气与自动化学院2026年优秀博士招聘公告
已经有0人回复
国家级人才课题组招收2026年入学博士
已经有2人回复
» 本主题相关价值贴推荐,对您同样有帮助:
如何通过考察与温度的影响实验证明吸附过程是物理吸附还是化学吸附?
已经有4人回复
吸附动力学实验设计
已经有14人回复
吸附反应动力学的模拟-----K值是负值??????
已经有7人回复
吸附动力学问题
已经有3人回复
被吸附动力学和吸附等温实验弄晕了。。。。
已经有3人回复
关于吸附过程中二级反应动力学的问题
已经有3人回复
物理吸附文献交流学习
已经有17人回复
降解动力学问题请教
已经有6人回复
请问一下,化学吸附和物理吸附问题
已经有13人回复
吸附动力学实验数据处理
已经有13人回复
如何确定吸附平衡时间
已经有6人回复
吸附动力学 吸附平衡
已经有10人回复
吸附动力学和热力学的矛盾
已经有10人回复
请问MS动力学的步骤···
已经有4人回复
吸附动力学方程模拟的目的是什么?
已经有17人回复
吸附动力学机制模型
已经有10人回复
关于吸附动力学和吸附热力学问题
已经有11人回复
做吸附动力学实验溶液体积大约多少?
已经有12人回复
吸附动力学及等温线问题求教~~
已经有27人回复
求助,关于物理吸附、化学吸附与焓的关系,下面是审稿人给的意见,不知道怎么回答了
已经有15人回复
关于吸附等温线的问题
已经有26人回复
吸附等温线和吸附动力学问题 求教!!
已经有11人回复
吸附的动力学方程拟合
已经有18人回复
无欲则刚
1楼
2014-12-27 17:03:41
已阅
回复此楼
关注TA
给TA发消息
送TA红花
TA的回帖
zyhou
专家顾问
(文坛精英)
专家经验: +3748
C-EPI: 74
应助: 4970
(副教授)
贵宾: 2.947
金币: 39203.7
散金: 14624
红花: 415
帖子: 10637
在线: 2545.8小时
虫号: 373328
注册: 2007-05-16
性别: GG
专业: 催化化学
管辖:
催化
【答案】应助回帖
★ ★
感谢参与,应助指数 +1
fatewu: 金币+2, 谢谢回帖,欢迎常来催化,辛苦了~周末愉快
2014-12-28 20:25:59
辛苦斑竹提醒!
不是很懂,也没有看过类似的文献!感觉公式描述的不是动力学,而是饱和吸附量的拟合公式!
赞
一下
回复此楼
2楼
2014-12-28 19:37:58
已阅
回复此楼
关注TA
给TA发消息
送TA红花
TA的回帖
相关版块跳转
有机交流
有机资源
高分子
无机/物化
分析
催化
工艺技术
化工设备
石油化工
精细化工
电化学
环境
SciFinder/Reaxys
我要订阅楼主
沧海茫茫
的主题更新
2
1/1
返回列表
如果回帖内容含有宣传信息,请如实选中。否则帐号将被全论坛禁言
普通表情
龙
兔
虎
猫
百度网盘
|
360云盘
|
千易网盘
|
华为网盘
在新窗口页面中打开自己喜欢的网盘网站,将文件上传后,然后将下载链接复制到帖子内容中就可以了。
信息提示
关闭
请填处理意见
关闭
确定