| ²é¿´: 2952 | »Ø¸´: 1 | |
yuxi1989Òø³æ (СÓÐÃûÆø)
|
[ÇóÖú]
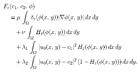
ˮƽ¼¯Í¼Ïñ·Ö¸î·½·¨µÄCVÄ£ÐÍÍÆµ¼
|
|
|
|
avrwoo½ð³æ (СÓÐÃûÆø)
|
|
|
2Â¥2015-01-19 15:19:20
|
|













»Ø¸´´ËÂ¥