版块导航
正在加载中...
客户端APP下载
论文辅导
调剂小程序
登录
注册
帖子
帖子
用户
本版
应《网络安全法》要求,自2017年10月1日起,未进行实名认证将不得使用互联网跟帖服务。为保障您的帐号能够正常使用,请尽快对帐号进行手机号验证,感谢您的理解与支持!
24小时热门版块排行榜
>
论坛更新日志
(3688)
>
虫友互识
(470)
>
休闲灌水
(231)
>
导师招生
(207)
>
文献求助
(181)
>
考博
(62)
>
论文道贺祈福
(57)
>
博后之家
(55)
>
论文投稿
(54)
>
硕博家园
(51)
>
考研
(46)
>
基金申请
(39)
>
公派出国
(30)
>
招聘信息布告栏
(28)
>
找工作
(20)
>
教师之家
(16)
小木虫论坛-学术科研互动平台
»
化学化工区
»
电化学
»
电分析测试
»
锂离子电池正极材料循环伏安测试方面的问题
8
1/1
返回列表
查看: 2406 | 回复: 7
只看楼主
@他人
存档
新回复提醒
(忽略)
收藏
在APP中查看
小马同学1108
新虫
(初入文坛)
应助: 0
(幼儿园)
金币: 139.1
帖子: 11
在线: 7.2小时
虫号: 3352087
注册: 2014-08-04
专业: 电化学
[
求助
]
锂离子电池正极材料循环伏安测试方面的问题
已有3人参与
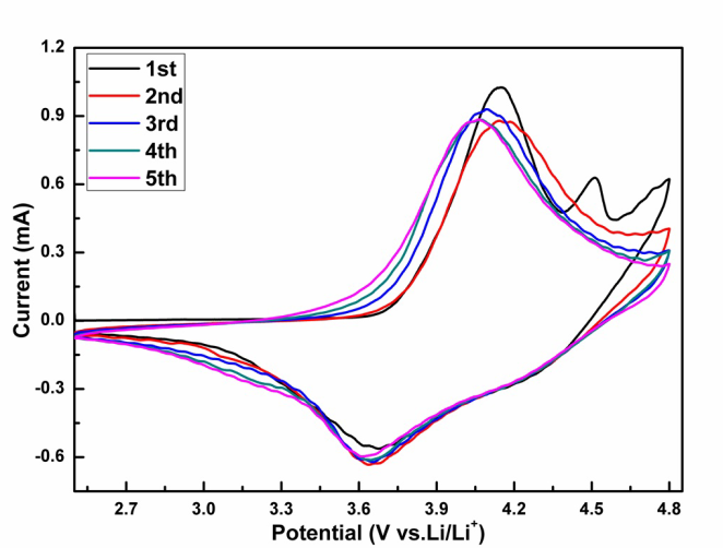
求助:为什么我的材料测试的循环伏安曲线没有显示低电位的表示Mn反应的那个还原峰?我做的是锂离子电池三元富锂正极材料LiMnNiCoO,还请各位大神不吝赐教!
回复此楼
» 收录本帖的淘帖专辑推荐
超级电容器及各种科研精华
» 猜你喜欢
CSC & MSCA 博洛尼亚大学能源材料课题组博士/博士后招生|MSCA经费充足、排名优
已经有6人回复
德国Karlsruhe Institute of Technology招收电化学储能及联合培养CSC博士等
已经有20人回复
分析化学论文润色/翻译怎么收费?
已经有258人回复
德国Karlsruhe Institute of Technology招收电化学储能及联合培养CSC博士
已经有24人回复
德国Karlsruhe Institute of Technology招收电化学储能及联合培养CSC博士
已经有1人回复
固态锂金属电池迁移数计算求助
已经有1人回复
荷兰奈梅亨大学赵文博与Galimberti课题组招收理论计算CSC博士 2000 欧元/月+房补
已经有0人回复
26储能博士申请自荐
已经有22人回复
上海交通大学--宁波东方理工大学电池方向博士招生
已经有10人回复
海南大学全国重点实验室杨金霖老师招收储能电池方向博士生(2026年3月报名,9月入学)
已经有0人回复
海南师范大学2026年博士研究生招收 (在职想提升学历人员可报考) 申请考核制+普通招考
已经有0人回复
» 本主题相关商家推荐:
(我也要在这里推广)
» 本主题相关价值贴推荐,对您同样有帮助:
锂离子电池三元正极材料的交流阻抗测试问题,求解答
已经有14人回复
锂离子电池中材料电位分别是多少,求助!!
已经有9人回复
请问蓄电池的正极材料定义的是在充电后还是放电后的物质?
已经有4人回复
测循环后的锂离子电池的阻抗,是充满电测还是放电到某一平台测
已经有6人回复
交流阻抗,循环伏安测试出现这种问题是什么原因
已经有26人回复
循环伏安测锂离子迁移系数
已经有6人回复
锂离子电池中的循环伏安(CV)与交流阻抗(EIS)之间的关系?
已经有4人回复
三电极体系中测试循环伏安,点分散,交流阻抗不能测不出来
已经有8人回复
锂离子电池正极材料中游离锂对电池的影响
已经有32人回复
锂电池循环性能测试
已经有17人回复
锂离子电池正极材料的导电性如何测的?
已经有10人回复
想知道锂离子电池正极材料LiMn2O4的供应商?
已经有10人回复
请问:CHI电化学工作站测试扣式电池的循环伏安和交流阻抗相关问题
已经有12人回复
锂电池正极材料的循环伏安测试疑问
已经有10人回复
【求助】锂电池循环伏安是一条水平直线,问题出在哪里
已经有17人回复
【求助】做正极材料的可逆容量和循环性能测试,用纽扣电池好,还是用模具电池好?
已经有14人回复
【求助】循环伏安测锂离子电池
已经有6人回复
【求助】循环伏安测试的主要目的
已经有28人回复
1楼
2014-12-26 18:41:23
已阅
回复此楼
关注TA
给TA发消息
送TA红花
TA的回帖
匿名
木虫
(职业作家)
应助: 19
(小学生)
金币: 3147.5
散金: 290
红花: 27
沙发: 15
帖子: 4857
在线: 611.3小时
虫号: 0
注册: 2010-12-11
性别: GG
专业: 电化学
本帖仅楼主可见
2楼
2014-12-26 18:58:38
已阅
申请ECEPI
回复此楼
编辑
查看我的主页
小马同学1108
新虫
(初入文坛)
应助: 0
(幼儿园)
金币: 139.1
帖子: 11
在线: 7.2小时
虫号: 3352087
注册: 2014-08-04
专业: 电化学
引用回帖:
2楼
:
Originally posted by
kael
at 2014-12-26 18:58:38
数据呢?具体点
这是CV曲线图
CV曲线.png
赞
一下
回复此楼
3楼
2014-12-26 21:07:19
已阅
回复此楼
关注TA
给TA发消息
送TA红花
TA的回帖
langzhizhou
版主
(职业作家)
ECEPI: 13
应助: 1072
(博后)
贵宾: 1.631
金币: 32033.8
散金: 6372
红花: 305
帖子: 3172
在线: 409.1小时
虫号: 507377
注册: 2008-02-19
性别: GG
专业: 电化学
管辖:
电化学
【答案】应助回帖
★ ★
感谢参与,应助指数 +1
小马同学1108: 金币+2,
★
有帮助
2014-12-28 14:41:47
我记得三元材料NCM里面,Mn主要起骨架作用,是不参与反应的;
理论上没有容量发挥,也没有CV峰出现
赞
一下
回复此楼
何处高楼无可醉,谁家红袖不相怜!
4楼
2014-12-26 21:53:03
已阅
回复此楼
关注TA
给TA发消息
送TA红花
TA的回帖
xinquandin
铜虫
(正式写手)
应助: 3
(幼儿园)
金币: 4284.6
散金: 68
红花: 1
帖子: 327
在线: 297.6小时
虫号: 797552
注册: 2009-06-23
性别:
MM
专业: 电化学
【答案】应助回帖
★ ★
感谢参与,应助指数 +1
小马同学1108: 金币+2,
★
有帮助
2014-12-28 14:41:32
你的首次充电曲线4.5V处的氧化峰也不怎么明显,你的材料确定有Li2MnO3成分,且比较多吗,有可能此成分很少,导致氧化还原峰不明显。
赞
一下
回复此楼
5楼
2014-12-28 11:19:10
已阅
回复此楼
关注TA
给TA发消息
送TA红花
TA的回帖
hit30
木虫
(小有名气)
应助: 5
(幼儿园)
金币: 1735.7
散金: 776
红花: 3
帖子: 270
在线: 302小时
虫号: 1781950
注册: 2012-04-27
性别: GG
专业: 固体无机化学
【答案】应助回帖
感谢参与,应助指数 +1
目测你的Li2MnO3量比较少。是在做新组分?
4.5V氧化峰强度和3.6V以下的还原峰的强度应该同强同弱,所以这个图形还是比较是合理的。
在后续循环中你会发现Mn对应的峰会越来越明显,可以做微分电容分析
赞
一下
回复此楼
6楼
2014-12-28 19:10:33
已阅
回复此楼
关注TA
给TA发消息
送TA红花
TA的回帖
真实1291
新虫
(初入文坛)
应助: 0
(幼儿园)
金币: 116
帖子: 8
在线: 20.2小时
虫号: 4430119
注册: 2016-02-24
专业: 制造系统与自动化
楼主你好
发自小木虫Android客户端
回复此楼
7楼
2016-09-13 22:44:52
已阅
回复此楼
关注TA
给TA发消息
送TA红花
TA的回帖
真实1291
新虫
(初入文坛)
应助: 0
(幼儿园)
金币: 116
帖子: 8
在线: 20.2小时
虫号: 4430119
注册: 2016-02-24
专业: 制造系统与自动化
引用回帖:
3楼
:
Originally posted by
小马同学1108
at 2014-12-26 21:07:19
这是CV曲线图
CV曲线.png
...
师兄,我也是做锂离子电池三元材料的,CV测试的参数如何设置,工作电级如何制作。十分感谢
发自小木虫Android客户端
赞
一下
回复此楼
8楼
2016-09-13 22:48:07
已阅
回复此楼
关注TA
给TA发消息
送TA红花
TA的回帖
相关版块跳转
有机交流
有机资源
高分子
无机/物化
分析
催化
工艺技术
化工设备
石油化工
精细化工
电化学
环境
SciFinder/Reaxys
我要订阅楼主
小马同学1108
的主题更新
8
1/1
返回列表
如果回帖内容含有宣传信息,请如实选中。否则帐号将被全论坛禁言
普通表情
龙
兔
虎
猫
百度网盘
|
360云盘
|
千易网盘
|
华为网盘
在新窗口页面中打开自己喜欢的网盘网站,将文件上传后,然后将下载链接复制到帖子内容中就可以了。
信息提示
关闭
请填处理意见
关闭
确定