版块导航
正在加载中...
客户端APP下载
论文辅导
调剂小程序
登录
注册
帖子
帖子
用户
本版
应《网络安全法》要求,自2017年10月1日起,未进行实名认证将不得使用互联网跟帖服务。为保障您的帐号能够正常使用,请尽快对帐号进行手机号验证,感谢您的理解与支持!
24小时热门版块排行榜
>
论坛更新日志
(2957)
>
虫友互识
(317)
>
导师招生
(215)
>
文献求助
(150)
>
硕博家园
(107)
>
考研
(86)
>
考博
(73)
>
休闲灌水
(66)
>
博后之家
(60)
>
招聘信息布告栏
(41)
>
论文投稿
(36)
>
教师之家
(34)
>
基金申请
(31)
>
公派出国
(29)
>
论文道贺祈福
(28)
>
找工作
(22)
小木虫论坛-学术科研互动平台
»
化学化工区
»
电化学
»
电分析测试
»
求解循如何分析环伏安法测定电极性能。
1
1/1
返回列表
查看: 302 | 回复: 0
只看楼主
@他人
存档
新回复提醒
(忽略)
收藏
在APP中查看
清琉越
木虫
(小有名气)
应助: 0
(幼儿园)
金币: 2565.9
散金: 45
红花: 2
帖子: 282
在线: 115.5小时
虫号: 2305128
注册: 2013-02-27
专业: 有机合成
[
求助
]
求解循如何分析环伏安法测定电极性能。
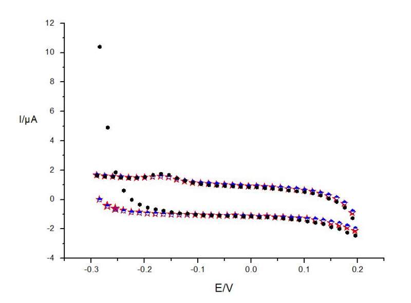
我们用活性炭、导电炭黑、涂在泡沫镍上,做电极。电解质是30%的KOH。
这是原始数据和我做的图,但是之前对电化学了解不多,请教该怎样进行分析。
360截图20141220181242016.jpg
360截图20141220181242016.jpg
回复此楼
» 本帖附件资源列表
欢迎监督和反馈:小木虫仅提供交流平台,不对该内容负责。
本内容由用户自主发布,如果其内容涉及到知识产权问题,其责任在于用户本人,如对版权有异议,请联系邮箱:xiaomuchong@tal.com
附件 1 :
电容.Txt
2014-12-20 20:35:15, 70.31 K
» 猜你喜欢
德国Karlsruhe Institute of Technology招收电化学储能及联合培养CSC博士等
已经有20人回复
德国Karlsruhe Institute of Technology招收电化学储能及联合培养CSC博士
已经有24人回复
物理化学论文润色/翻译怎么收费?
已经有143人回复
德国Karlsruhe Institute of Technology招收电化学储能及联合培养CSC博士
已经有1人回复
固态锂金属电池迁移数计算求助
已经有1人回复
荷兰奈梅亨大学赵文博与Galimberti课题组招收理论计算CSC博士 2000 欧元/月+房补
已经有0人回复
26储能博士申请自荐
已经有23人回复
上海交通大学--宁波东方理工大学电池方向博士招生
已经有10人回复
海南大学全国重点实验室杨金霖老师招收储能电池方向博士生(2026年3月报名,9月入学)
已经有1人回复
海南师范大学2026年博士研究生招收 (在职想提升学历人员可报考) 申请考核制+普通招考
已经有1人回复
申博求助
已经有0人回复
1楼
2014-12-20 20:35:31
已阅
回复此楼
关注TA
给TA发消息
送TA红花
TA的回帖
智能机器人
Robot
(super robot)
我们都爱小木虫
找到一些相关的精华帖子,希望有用哦~
电化学法测试电极真实表面积的问题,求解?
已经有7人回复
循环伏安测试DSA电极性能时候的设置
已经有7人回复
循环伏安法测试前电极需要处理吗?
已经有7人回复
求教三电极测试 循环伏安曲线 的 电位窗口 如何确定问题
已经有34人回复
测循环伏安的三电极怎么接?
已经有13人回复
循环伏安法能对电极表面的组分变化趋势研究吗
已经有10人回复
循环伏安法 测电极可逆性
已经有6人回复
循环伏安曲线图分析
已经有8人回复
差分脉冲伏安法DPV修饰电极扫空白PBS有峰
已经有16人回复
关于循环伏安法测电极比容,谁能解释的。。。来啊!!!
已经有5人回复
采用循环伏安测试电极的活性面积
已经有261人回复
求助-循环伏安三电极的选择!跪求指导
已经有6人回复
求助 二氧化锰电极 采用三电极方法测试电化学性能 为什么循环伏安曲线不呈矩形
已经有6人回复
循环伏安图该如何测?
已经有6人回复
循环伏安法测试疑问
已经有5人回复
电化学方法制作超级电容器二氧化锰电极,循环伏安和交流阻抗曲线分析
已经有10人回复
【求助】用循环伏安法测电极稳定性时的电流问题
已经有11人回复
【求助】问下关于循环伏安测试中电极的选择问题
已经有11人回复
【求助】循环伏安法测定电解液氧化还原电位必须三个电极么?
已经有10人回复
【求助】金属电极循环伏安法图谱及交流阻抗图谱分析
已经有10人回复
【求助】循环伏安测电容
已经有5人回复
点击这里搜索更多相关资源
科研从小木虫开始,人人为我,我为人人
相关版块跳转
有机交流
有机资源
高分子
无机/物化
分析
催化
工艺技术
化工设备
石油化工
精细化工
电化学
环境
SciFinder/Reaxys
我要订阅楼主
清琉越
的主题更新
1
1/1
返回列表
如果回帖内容含有宣传信息,请如实选中。否则帐号将被全论坛禁言
普通表情
龙
兔
虎
猫
百度网盘
|
360云盘
|
千易网盘
|
华为网盘
在新窗口页面中打开自己喜欢的网盘网站,将文件上传后,然后将下载链接复制到帖子内容中就可以了。
信息提示
关闭
请填处理意见
关闭
确定