版块导航
正在加载中...
客户端APP下载
论文辅导
申博辅导
登录
注册
帖子
帖子
用户
本版
应《网络安全法》要求,自2017年10月1日起,未进行实名认证将不得使用互联网跟帖服务。为保障您的帐号能够正常使用,请尽快对帐号进行手机号验证,感谢您的理解与支持!
24小时热门版块排行榜
>
论坛更新日志
(2874)
>
虫友互识
(285)
>
导师招生
(189)
>
文献求助
(168)
>
休闲灌水
(58)
>
论文投稿
(57)
>
博后之家
(52)
>
招聘信息布告栏
(43)
>
考研
(35)
>
硕博家园
(34)
>
考博
(33)
>
基金申请
(22)
>
SciFinder/Reaxys
(19)
>
留学DIY
(16)
>
绿色求助(高悬赏)
(16)
>
公派出国
(16)
小木虫论坛-学术科研互动平台
»
化学化工区
»
分析
»
波谱分析
»
Origin做图的奇怪问题!
2
1/1
返回列表
查看: 863 | 回复: 1
只看楼主
@他人
存档
新回复提醒
(忽略)
收藏
在APP中查看
seantan521
银虫
(小有名气)
应助: 0
(幼儿园)
金币: 180.1
散金: 90
红花: 8
帖子: 114
在线: 77.4小时
虫号: 2256389
注册: 2013-01-23
性别: GG
专业: 有机高分子功能材料
[交流]
Origin做图的奇怪问题!
已有1人参与
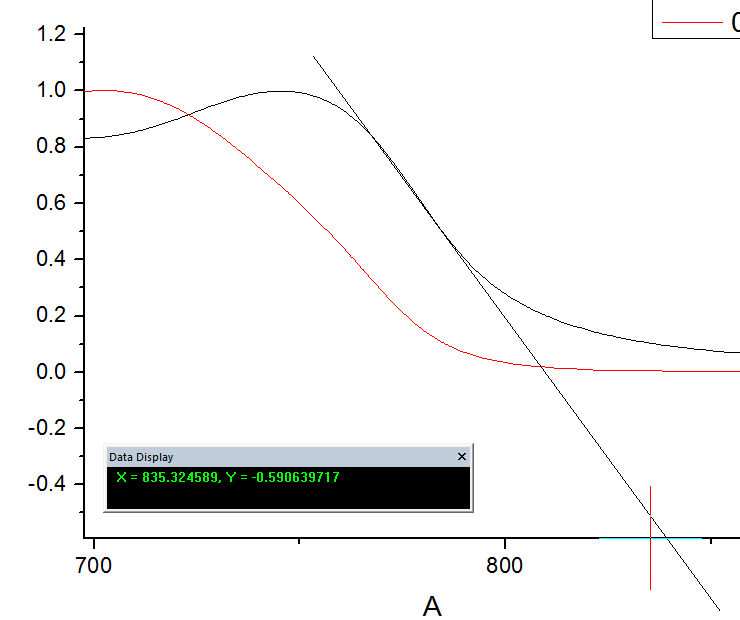
测UV后,做切线!放大前后切线和X轴的交点横坐标也跟着变大了???!!!
感觉好不科学啊!!!
如图所示:
回复此楼
» 猜你喜欢
国自然申请面上模板最新2026版出了吗?
已经有19人回复
拟解决的关键科学问题还要不要写
已经有7人回复
存款400万可以在学校里躺平吗
已经有17人回复
请教限项目规定
已经有3人回复
基金委咋了?2026年的指南还没有出来?
已经有10人回复
基金申报
已经有6人回复
推荐一本书
已经有13人回复
纳米粒子粒径的测量
已经有8人回复
疑惑?
已经有5人回复
计算机、0854电子信息(085401-058412)调剂
已经有5人回复
高级回复
» 本主题相关价值贴推荐,对您同样有帮助:
如何用origin软件做紫外吸收光谱图
已经有10人回复
origin做图如何使X轴的文字斜着放?
已经有3人回复
求助电池充放电曲线origin作图问题
已经有20人回复
origin做二维图 如何增加等高线条数
已经有5人回复
怎样用origin做红外光谱图?数据是text格式的。请教大家!!
已经有5人回复
origin作图后如何更改横坐标
已经有8人回复
求助origin如何画三维荧光光谱图
已经有25人回复
origin做图 多图层graph并列 merge 图层混乱
已经有8人回复
如何用origin做这样的图?
已经有12人回复
Origin做DOS图怎么读gap?
已经有8人回复
origin 作图坐标轴问题请教
已经有6人回复
求教一个origin中的问题,求大神指点
已经有4人回复
奇怪了!ORIGIN的图例居然隐身了!
已经有15人回复
【求助】Origin 柱状图问题 棘手
已经有9人回复
求助 origin作图不能输出图片——已解决
已经有9人回复
【求助】zsimpwin 软件拟合图谱的数据如何输出到origin作图?
已经有25人回复
【求助】如何用origin做这样的图
已经有6人回复
请问origin做的图以eps格式导出来,无法显示symbol字体,怎么办?
已经有11人回复
(急)origin做出来的图显示成pdf有问题
已经有19人回复
【求助】如何用origin做pdos图!
已经有9人回复
【求助】Origin怎样改核磁图横坐标
已经有9人回复
【求助】origin分峰积分氨TPD曲线的问题
已经有12人回复
耐得寂寞,天道酬勤。
1楼
2014-12-04 23:20:17
已阅
回复此楼
关注TA
给TA发消息
送TA红花
TA的回帖
xmuwxd
金虫
(正式写手)
应助: 1
(幼儿园)
金币: 815.6
散金: 1509
红花: 5
帖子: 436
在线: 116.9小时
虫号: 447684
注册: 2007-11-01
性别: GG
专业: 光谱分析
★ ★ ★
小木虫: 金币+0.5, 给个红包,谢谢回帖
费姚永芬: 金币+2, 谢谢交流,欢迎常来分析版
2014-12-05 10:16:11
x轴不是应该通过0点嘛?你算x轴的交点是不变的
[ 发自小木虫客户端 ]
赞
一下
回复此楼
2楼
2014-12-05 05:14:29
已阅
回复此楼
关注TA
给TA发消息
送TA红花
TA的回帖
相关版块跳转
有机交流
有机资源
高分子
无机/物化
分析
催化
工艺技术
化工设备
石油化工
精细化工
电化学
环境
SciFinder/Reaxys
我要订阅楼主
seantan521
的主题更新
2
1/1
返回列表
如果回帖内容含有宣传信息,请如实选中。否则帐号将被全论坛禁言
普通表情
龙
兔
虎
猫
高级回复
(可上传附件)
百度网盘
|
360云盘
|
千易网盘
|
华为网盘
在新窗口页面中打开自己喜欢的网盘网站,将文件上传后,然后将下载链接复制到帖子内容中就可以了。
信息提示
关闭
请填处理意见
关闭
确定