版块导航
正在加载中...
客户端APP下载
论文辅导
申博辅导
登录
注册
帖子
帖子
用户
本版
应《网络安全法》要求,自2017年10月1日起,未进行实名认证将不得使用互联网跟帖服务。为保障您的帐号能够正常使用,请尽快对帐号进行手机号验证,感谢您的理解与支持!
24小时热门版块排行榜
>
论坛更新日志
(384)
>
虫友互识
(26)
>
公派出国
(5)
>
导师招生
(4)
>
考博
(4)
>
考研
(4)
>
基金申请
(3)
>
教师之家
(3)
>
休闲灌水
(3)
>
论文投稿
(2)
>
海归之家
(1)
>
有奖起名
(1)
>
材料综合
(1)
>
能源
(1)
>
分子生物
(1)
>
计算模拟
(1)
小木虫论坛-学术科研互动平台
»
生物医药区
»
药学
»
药物化学
»
解疑必送金币,求帮忙
6
1/1
返回列表
查看: 825 | 回复: 5
只看楼主
@他人
存档
新回复提醒
(忽略)
收藏
在APP中查看
2583929432
金虫
(著名写手)
应助: 22
(小学生)
金币: 2230.7
帖子: 2168
在线: 96小时
虫号: 3512648
[交流]
解疑必送金币,求帮忙
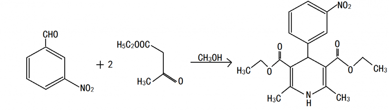
请大家帮助,合成图中的产物,但不是图中的合成路线,最好说一下原理(名字也行)。谢谢了。只要切题就送金币,金币虽少,还是请求帮助。
再次谢过。回答合理者即送金币,每人最高50金币。
化合物的合成.png
回复此楼
» 本帖已获得的红花(最新10朵)
小chong子
» 猜你喜欢
招博士
已经有4人回复
救命帖
已经有7人回复
限项规定
已经有6人回复
西南交通大学国家级人才团队2026年博士研究生招生(考核制)—机械、材料、力学方向
已经有3人回复
英文综述是否需要润色及查重
已经有5人回复
为什么nbs上溴 没有产物点出现呢
已经有9人回复
最失望的一年
已经有18人回复
高级回复
» 本主题相关价值贴推荐,对您同样有帮助:
帮忙:求解一组微分代数方程,奖励100金币
已经有7人回复
为什么下载别人资源需要付金币,而我上传的就不用呢?怎么设置啊?求大神帮忙啊
已经有20人回复
帮忙填网络问卷,跪求亲们认真填写,好人好事,填写完成发放10金币
已经有3人回复
谁能帮忙打听到2014年同济和厦门大学临床医学统招各有多少人,100金币全送
已经有19人回复
求大神帮忙啊,以我全部金币交换
已经有4人回复
300金币求帮忙解决个PMF相关的问题
已经有10人回复
求大侠帮忙鉴定植物,都是云南大理的,这是小弟全部金币了,谢谢各位!急!
已经有4人回复
求懂统计的同学帮忙分析下一组数据,100金币送上
已经有12人回复
高金币跪求英语翻译成西班牙语,恳求懂西班牙语的帮忙,文章急用啊!!
已经有14人回复
磷酸铁锂电池40度的容量居然比23度低,求大神帮忙解释!有金币感激!
已经有12人回复
跪求能用微谱数据库的虫子们,帮忙查一下碳谱数据,本人送6个金币!!!
已经有7人回复
求助:请高手帮忙解释一下自扩散系数,互扩散系数之间的关系,送金币!
已经有3人回复
500金币求软件,谁能帮忙读一下热重-红外连用(TG-IR)的srs后缀文件格式,谢谢!
已经有5人回复
关于 共轭梯度法 求助~~~好心人帮忙 有金币的哦
已经有11人回复
【求助】帮忙读一个mex程序,100金币相送
已经有5人回复
【求助】NOESY谱图处理及解析(帮忙分析结构是否正确,并说明原因)正解后追加金币50
已经有18人回复
【求助/交流】热不对称PCR的问题,回帖就送金币!!多谢帮忙回答的,帮顶的!!
已经有49人回复
【求助】求考博跟博导联系的推荐信格式,多谢帮忙,好的送5个金币感谢
已经有5人回复
【求助】被csc录取了,但不想去了。日语好的高手来帮帮忙!(有金币)
已经有14人回复
» 抢金币啦!回帖就可以得到:
查看全部散金贴
南佛罗里达大学化学系刘文奇课题组 2026 Fall 招收有机/超分子方向博士生
+
2
/922
大连理工大学智能系统实验室优秀硕博研究生招生
+
1
/73
武汉大学博士生/直博生招聘(微纳光驱动与片上光子学)
+
5
/70
中国地质大学(武汉)地质学、地质资源与地质工程、资源与环境方向招生,请尽快联系!
+
1
/68
电子科技大学崔春华课题组招收物理化学背景博士生1名-申请考核制
+
2
/46
[长期合作招募] 同济大学肖倩老师团队诚邀港澳学者学术交流
+
1
/34
深圳大学信息功能聚合物电介质方向“申请-考核制”博士生招生
+
2
/30
【教授本人】南佛罗里达大学化学系刘文奇课题组 2026 Fall 招收有机/超分子方向博士生
+
1
/29
[长期合作招募] 同济大学肖倩老师团队诚邀港澳学者学术交流
+
1
/25
2026申博自荐 本硕双一流学科 纳米药物递送方向 一篇一区TOP 两个国家奖学金
+
1
/17
2026申博自荐 本硕双一流学科 纳米药物递送方向 一篇一区TOP 两个国家奖学金
+
1
/14
广东以色列理工学院博士/硕士招生-通过稀疏观测用数据驱动方法预测湍流
+
1
/10
2025版《中国药典》方法测定二甲基亚砜含量偏高
+
1
/5
南开大学齐迹课题组诚聘分子生物学、免疫学、有机分子合成相关方向的博士后和研究生
+
1
/3
华南理工大学宋波教授招聘材料和化学方向博士后(长期有限)
+
1
/3
华南理工大学宋波教授招聘博士后(长期有效)
+
1
/3
标准求助 SN/T 5263-2020悬赏10个金币
+
1
/2
多伦多城市大学计算机视觉方向博士后
+
1
/1
河北工业大学层状材料与器件团队诚聘二维材料与原位电子显微学方向青年教师与博士后
+
1
/1
南方科技大学田雷蕾课题组招收2026年博士生
+
1
/1
1楼
2014-12-01 20:32:26
已阅
回复此楼
关注TA
给TA发消息
送TA红花
TA的回帖
小chong子
新虫
(小有名气)
应助: 1
(幼儿园)
金币: 392.1
帖子: 51
在线: 35.9小时
虫号: 3508814
★ ★ ★ ★ ★ ★ ★ ★ ★ ★ ★
小木虫: 金币+0.5, 给个红包,谢谢回帖
送红花一朵
2583929432: 金币+10, 内容准确,谢谢了。
2014-12-02 21:51:57
这里有70个合成路线,足以供楼主参考,金币送来。
赞
一下
(1人)
回复此楼
» 本帖附件资源列表
欢迎监督和反馈:小木虫仅提供交流平台,不对该内容负责。
本内容由用户自主发布,如果其内容涉及到知识产权问题,其责任在于用户本人,如对版权有异议,请联系邮箱:xiaomuchong@tal.com
附件 1 :
Reaction_12_01_2014_224208.pdf
2014-12-02 21:48:55, 498.85 K
2楼
2014-12-02 21:48:49
已阅
回复此楼
关注TA
给TA发消息
送TA红花
TA的回帖
2583929432
金虫
(著名写手)
应助: 22
(小学生)
金币: 2230.7
帖子: 2168
在线: 96小时
虫号: 3512648
引用回帖:
2楼
:
Originally posted by
小chong子
at 2014-12-02 21:48:49
这里有70个合成路线,足以供楼主参考,金币送来。
谢谢了
回复此楼
3楼
2014-12-02 21:54:08
已阅
回复此楼
关注TA
给TA发消息
送TA红花
TA的回帖
zqcmu
至尊木虫
(职业作家)
应助: 279
(大学生)
金币: 14534.1
帖子: 4113
在线: 1607.1小时
虫号: 2331259
★ ★ ★ ★ ★ ★ ★ ★ ★ ★ ★
小木虫: 金币+0.5, 给个红包,谢谢回帖
2583929432: 金币+10, 谢谢了,
2014-12-03 14:52:05
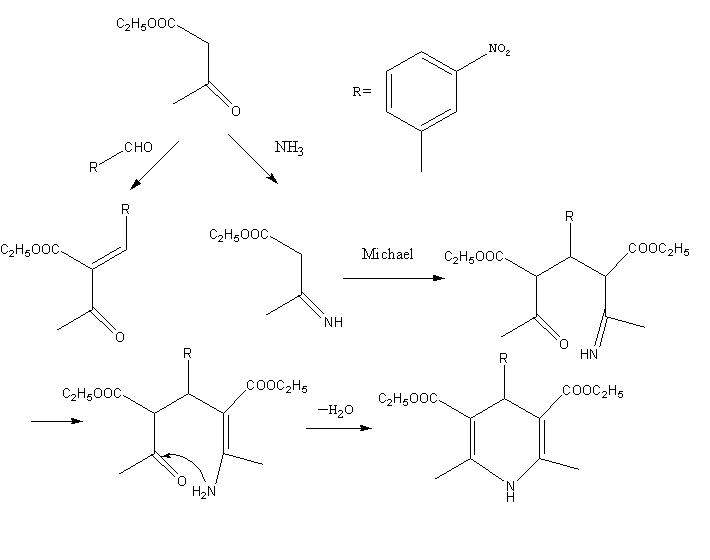
这个是吡啶环系合成通法(Hantzsch合成法)看图……希望有帮助
092435513.jpg
赞
一下
(1人)
回复此楼
4楼
2014-12-03 09:25:39
已阅
回复此楼
关注TA
给TA发消息
送TA红花
TA的回帖
2583929432
金虫
(著名写手)
应助: 22
(小学生)
金币: 2230.7
帖子: 2168
在线: 96小时
虫号: 3512648
引用回帖:
4楼
:
Originally posted by
zqcmu
at 2014-12-03 09:25:39
这个是吡啶环系合成通法(Hantzsch合成法)看图……希望有帮助
092435513.jpg
谢谢了嘿嘿
回复此楼
5楼
2014-12-04 20:05:14
已阅
回复此楼
关注TA
给TA发消息
送TA红花
TA的回帖
简单回复
zqcmu
6楼
2014-12-04 20:54
回复
引用回帖:
5楼
:
Originally posted by
2583929432
at 2014-12-04 20:05:14 谢谢了嘿嘿...
相关版块跳转
新药研发
药学
药品生产
分子生物
微生物
动植物
生物科学
医学
我要订阅楼主
2583929432
的主题更新
6
1/1
返回列表
如果回帖内容含有宣传信息,请如实选中。否则帐号将被全论坛禁言
普通表情
龙
兔
虎
猫
高级回复
(可上传附件)
百度网盘
|
360云盘
|
千易网盘
|
华为网盘
在新窗口页面中打开自己喜欢的网盘网站,将文件上传后,然后将下载链接复制到帖子内容中就可以了。
信息提示
关闭
请填处理意见
关闭
确定