| 查看: 729 | 回复: 2 | |||
vampireslg金虫 (小有名气)
|
[求助]
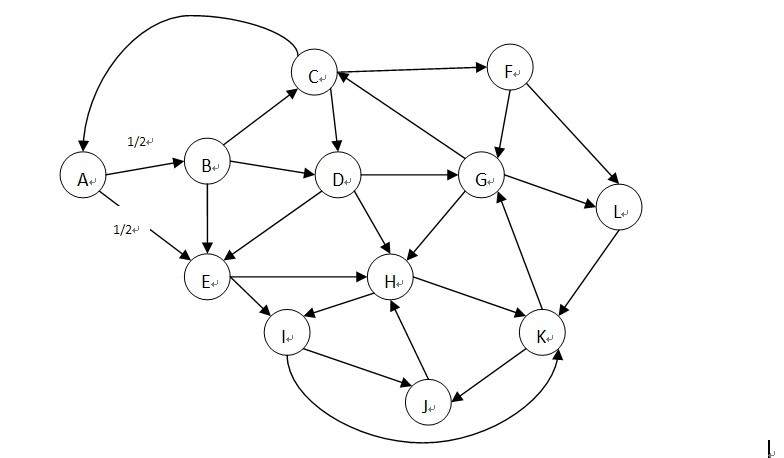
有向图的一条路径服从什么分布 ?
|
||
![]() |
|||
|
|
|||
feixiaolin荣誉版主 (文坛精英)
|
|||
|
2楼2014-11-16 20:21:22
|
|
||
vampireslg金虫 (小有名气)
|
|||
![]() |
|||
|
3楼2014-11-17 07:50:04
|
|













回复此楼
