| 查看: 1242 | 回复: 14 | ||
| 当前只显示满足指定条件的回帖,点击这里查看本话题的所有回帖 | ||
muoumaoodou金虫 (小有名气)
|
[求助]
紫外可见测试 LaAlO3基片扣背景问题已有2人参与
|
|
|
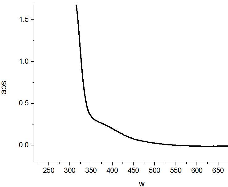
在 LaAlO3基片上镀了二氧化钛薄膜,用分光光度计测紫外可见吸收的时候,先放了一个 LaAlO3基片走了baseline,然后放了镀膜的样品测试。但测得的图谱吸收边居然到了350nm,二氧化钛的带隙是3.2eV左右,吸收边应该在380附近,怎么会退回去了呢?我猜想会不会是背景没有扣好?还是其他什么原因?望高人指点!!!!!! 波长-吸收.jpg |
» 猜你喜欢
确定没有上会
已经有20人回复
投稿问题
已经有2人回复
金属材料论文润色/翻译怎么收费?
已经有234人回复
求助含有微量硫元素的镍,塑性加工问题!!!
已经有0人回复
靶材制备加工
已经有0人回复
关于尼龙双拉膜
已经有0人回复
招收2026年秋季入学博士生1名(北京科技大学 力学超材料/机器学习/增材制造相关方向)
已经有21人回复
硅溶胶和硅酸钠水玻璃干燥后的结构为什么出现明显差异?
已经有6人回复
招收26年秋季入学博士生(北科大高精尖学院 力学超材料/机器学习/增材制造相关方向)
已经有18人回复
CTBN价位相差为何如此之大?
已经有0人回复
muoumaoodou
金虫 (小有名气)
- 应助: 2 (幼儿园)
- 金币: 1506.1
- 散金: 22
- 帖子: 89
- 在线: 24小时
- 虫号: 2184382
- 注册: 2012-12-13
- 专业: 凝聚态物性 II :电子结构
12楼2014-12-02 11:06:29
muoumaoodou
金虫 (小有名气)
- 应助: 2 (幼儿园)
- 金币: 1506.1
- 散金: 22
- 帖子: 89
- 在线: 24小时
- 虫号: 2184382
- 注册: 2012-12-13
- 专业: 凝聚态物性 II :电子结构
2楼2014-11-05 14:47:43
3楼2014-11-06 16:06:46
ruochengfeng
银虫 (小有名气)
- 应助: 2 (幼儿园)
- 金币: 3299.2
- 帖子: 64
- 在线: 53.4小时
- 虫号: 2746183
- 注册: 2013-10-23
- 性别: GG
- 专业: 半导体晶体与薄膜材料
4楼2014-11-07 11:12:29













回复此楼