²é¿´: 1227  |  »Ø¸´: 7

leons

Í­³æ (³õÈëÎÄ̳)

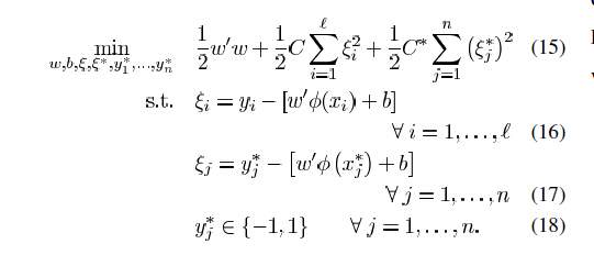
[ÇóÖú] ÇóÖúÒ»¸ömatlab½â°ë¼à¶½SVMµÄ³ÌÐòʵÀý£¬»òÕßÕýÎÄÈçͼµÄmatlabÇó½â´úÂë


ÇóÖúÒ»¸ömatlab½â°ë¼à¶½SVMµÄ³ÌÐòʵÀý£¬»òÕßÕýÎÄÈçͼµÄmatlabÇó½â´úÂ룬Çó´óÉñ°ï棬×î½üÔÚѧ°ë¼à¶½£¬×¼±¸¸Ä½ø·¢ÆªºËÐÄ£¬³î°¡
ÇóÖúÒ»¸ömatlab½â°ë¼à¶½SVMµÄ³ÌÐòʵÀý£¬»òÕßÕýÎÄÈçͼµÄmatlabÇó½â´úÂë
q.jpg
»Ø¸´´ËÂ¥

» ²ÂÄãϲ»¶

» ±¾Ö÷ÌâÏà¹Ø¼ÛÖµÌùÍÆ¼ö£¬¶ÔÄúͬÑùÓаïÖú:

³ÁĬÖÐÉ¢·¢µÄÓÄĬ
ÒÑÔÄ   »Ø¸´´ËÂ¥   ¹Ø×¢TA ¸øTA·¢ÏûÏ¢ ËÍTAºì»¨ TAµÄ»ØÌû

leons

Í­³æ (³õÈëÎÄ̳)

×Ô¼º¶¥£¬¿´À´ËƺõûÈ˹ܰ¡

[ ·¢×ÔСľ³æ¿Í»§¶Ë ]
³ÁĬÖÐÉ¢·¢µÄÓÄĬ
2Â¥2014-10-27 07:48:01
ÒÑÔÄ   »Ø¸´´ËÂ¥   ¹Ø×¢TA ¸øTA·¢ÏûÏ¢ ËÍTAºì»¨ TAµÄ»ØÌû

leons

Í­³æ (³õÈëÎÄ̳)

ÒýÓûØÌû:
2Â¥: Originally posted by leons at 2014-10-27 07:48:01
×Ô¼º¶¥£¬¿´À´ËƺõûÈ˹ܰ¡

×Ô¼º¶¥£¬¿´À´ËƺõûÈ˹ܰ¡

[ ·¢×ÔСľ³æ¿Í»§¶Ë ]
³ÁĬÖÐÉ¢·¢µÄÓÄĬ
3Â¥2014-10-27 12:47:00
ÒÑÔÄ   »Ø¸´´ËÂ¥   ¹Ø×¢TA ¸øTA·¢ÏûÏ¢ ËÍTAºì»¨ TAµÄ»ØÌû

wd921343958

½ð³æ (СÓÐÃûÆø)

ºÃ¸ß´óÉϰ¡£¬¿´²»¶®¡£
4Â¥2014-10-27 15:45:18
ÒÑÔÄ   »Ø¸´´ËÂ¥   ¹Ø×¢TA ¸øTA·¢ÏûÏ¢ ËÍTAºì»¨ TAµÄ»ØÌû

leons

Í­³æ (³õÈëÎÄ̳)

ÒýÓûØÌû:
4Â¥: Originally posted by wd921343958 at 2014-10-27 15:45:18
ºÃ¸ß´óÉϰ¡£¬¿´²»¶®¡£

谢谢顶帖

[ ·¢×ÔСľ³æ¿Í»§¶Ë ]
³ÁĬÖÐÉ¢·¢µÄÓÄĬ
5Â¥2014-10-27 15:52:08
ÒÑÔÄ   »Ø¸´´ËÂ¥   ¹Ø×¢TA ¸øTA·¢ÏûÏ¢ ËÍTAºì»¨ TAµÄ»ØÌû

BillyLau

ľ³æ (СÓÐÃûÆø)

ºÃÏñ̨ÍåÈËд³öÁËÕâ¸öµÄ´úÂ룬¿ÉÒÔÖ±½ÓÏÂÔØlibsvm£¬È»ºó¸ÄÒ»ÏÂ
ΪÁ˸öÈ˼ÛÖµµÄÉç»áʵÏÖ
6Â¥2014-10-28 22:06:34
ÒÑÔÄ   »Ø¸´´ËÂ¥   ¹Ø×¢TA ¸øTA·¢ÏûÏ¢ ËÍTAºì»¨ TAµÄ»ØÌû

leons

Í­³æ (³õÈëÎÄ̳)

ÒýÓûØÌû:
6Â¥: Originally posted by BillyLau at 2014-10-28 22:06:34
ºÃÏñ̨ÍåÈËд³öÁËÕâ¸öµÄ´úÂ룬¿ÉÒÔÖ±½ÓÏÂÔØlibsvm£¬È»ºó¸ÄÒ»ÏÂ

ÎÒÐèÒªµÄÊÇÔ­ÀíºÍ×î»ù±¾µÄʵÏÖ£¬ÎÒÆäʵÊÇΪÁ˸ãÇå³þ°ë¼à¶½¡£²»ÏëÖ±½Ó°ü×°µÄ

[ ·¢×ÔСľ³æ¿Í»§¶Ë ]
³ÁĬÖÐÉ¢·¢µÄÓÄĬ
7Â¥2014-10-29 10:26:03
ÒÑÔÄ   »Ø¸´´ËÂ¥   ¹Ø×¢TA ¸øTA·¢ÏûÏ¢ ËÍTAºì»¨ TAµÄ»ØÌû

leons

Í­³æ (³õÈëÎÄ̳)

´ó¼Ò¶¼À´¶¥Ò»¶¥°¡¡£ÎÒÖªµÀ½á¹ûÁË»á³öÀ´ËµµÄ
³ÁĬÖÐÉ¢·¢µÄÓÄĬ
8Â¥2014-10-30 16:09:17
ÒÑÔÄ   »Ø¸´´ËÂ¥   ¹Ø×¢TA ¸øTA·¢ÏûÏ¢ ËÍTAºì»¨ TAµÄ»ØÌû
Ïà¹Ø°æ¿éÌø×ª ÎÒÒª¶©ÔÄÂ¥Ö÷ leons µÄÖ÷Ìâ¸üÐÂ
×î¾ßÈËÆøÈÈÌûÍÆ¼ö [²é¿´È«²¿] ×÷Õß »Ø/¿´ ×îºó·¢±í
[¿¼ÑÐ] 0817 »¯Ñ§¹¤³Ì 299·ÖÇóµ÷¼Á ÓпÆÑо­Àú ÓжþÇøÎÄÕ +18 rare12345 2026-03-18 18/900 2026-03-19 22:36 by ѧԱ8dgXkO
[¿¼ÑÐ] 321Çóµ÷¼Á +8 ºÎÈó²É123 2026-03-18 10/500 2026-03-19 16:46 by ºÎÈó²É123
[¿¼ÑÐ] Ò»Ö¾Ô¸±±¾©»¯¹¤´óѧ0703»¯Ñ§318·Ö£¬ÓпÆÑо­Àú£¬Çóµ÷¼Á +3 һƿ±½¼×Ëá 2026-03-14 3/150 2026-03-19 15:17 by ¾¡Ë´Ò¢1
[¿¼ÑÐ] 304Çóµ÷¼Á +6 ˾¿Õ. 2026-03-18 6/300 2026-03-18 23:03 by ÐÇ¿ÕÐÇÔÂ
[¿¼ÑÐ] 311Çóµ÷¼Á +4 ¶¬Ê®Èý 2026-03-18 4/200 2026-03-18 21:47 by ¾¡Ë´Ò¢1
[¿¼ÑÐ] 295Çóµ÷¼Á +3 Ò»Ö¾Ô¸¾©Çø211 2026-03-18 5/250 2026-03-18 17:03 by zhaoqian0518
[¿¼ÑÐ] 085601ר˶£¬×Ü·Ö342Çóµ÷¼Á£¬µØÇø²»ÏÞ +5 share_joy 2026-03-16 5/250 2026-03-18 14:48 by haxia
[¿¼ÑÐ] 297Çóµ÷¼Á +8 Ï·¾«µ¤µ¤µ¤ 2026-03-17 8/400 2026-03-18 14:30 by laoshidan
[¿¼ÑÐ] ²ÄÁÏר˶306Ó¢Ò»Êý¶þ +10 z1z2z3879 2026-03-16 13/650 2026-03-18 14:20 by 007_lilei
[¿¼ÑÐ] 0703»¯Ñ§336·ÖÇóµ÷¼Á +6 zbzihdhd 2026-03-15 7/350 2026-03-18 09:53 by zhukairuo
[˶²©¼ÒÔ°] ºþ±±¹¤Òµ´óѧ ÉúÃü¿ÆÑ§Ó뽡¿µÑ§Ôº-¿ÎÌâ×éÕÐÊÕ2026¼¶Ê³Æ·/ÉúÎï·½Ïò˶ʿ +3 1ϲ´º8 2026-03-17 5/250 2026-03-17 17:18 by ber´¨cool×Ó
[¿¼ÑÐ] ²ÄÁÏר˶326Çóµ÷¼Á +6 Ä«ìÏæ¦Ý· 2026-03-15 7/350 2026-03-17 17:10 by ruiyingmiao
[¿¼ÑÐ] 290Çóµ÷¼Á +3 p asserby. 2026-03-15 4/200 2026-03-17 16:35 by wangkm
[¿¼²©] 26É격 +4 °Ë6°Ë68 2026-03-16 4/200 2026-03-17 13:00 by ÇáËɲ»ÉÙËæ
[¿¼ÑÐ] ¿¼Ñе÷¼Á +3 ä¿ya_~ 2026-03-17 5/250 2026-03-17 09:25 by Winj1e
[¿¼ÑÐ] 274Çóµ÷¼Á +5 ʱ¼äµã 2026-03-13 5/250 2026-03-17 07:34 by ÈÈÇéɳĮ
[¿¼ÑÐ] »úеר˶325£¬Ñ°ÕÒµ÷¼ÁԺУ +3 y9999 2026-03-15 5/250 2026-03-16 19:58 by y9999
[¿¼ÑÐ] 0703 ÎïÀí»¯Ñ§µ÷¼Á +3 ÎÒ¿ÉÒÔÉϰ¶µÄ¶Ô 2026-03-13 5/250 2026-03-16 10:50 by ÎÒ¿ÉÒÔÉϰ¶µÄ¶ÔÂ
[¿¼ÑÐ] ÇóÀÏʦÊÕÁôµ÷¼Á +4 jiang½ª66 2026-03-14 5/250 2026-03-15 20:11 by Winj1e
[¿¼ÑÐ] 0856ר˶279Çóµ÷¼Á +5 ¼ÓÓͼÓÓÍ£¡? 2026-03-15 5/250 2026-03-15 11:58 by 2020015
ÐÅÏ¢Ìáʾ
ÇëÌî´¦ÀíÒâ¼û