| 查看: 3300 | 回复: 11 | |||
| 当前只显示满足指定条件的回帖,点击这里查看本话题的所有回帖 | |||
[求助]
关于勒让德函数和勒让德多项式的问题已有2人参与
|
|||
|
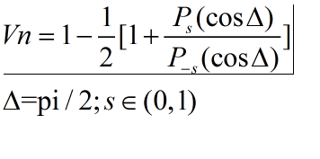
最近在阅读文献时遇到了个问题(数学方面的)主要是勒让德函数: 文献上定义了一个勒让德函数 Ps(x) ,从我的理解看,勒让德多项式要求Pn(x)存在,n为大于等于零的整数, 但是文中定义的勒让德函数,他的s区间在(-1,1),然后x的值确定,通过s的变化,来画出了一条曲线。请哪位大神帮我解释下,不甚感激 捕获.PNG |
» 猜你喜欢
请问哪里可以有青B申请的本子可以借鉴一下。
已经有3人回复
真诚求助:手里的省社科项目结项要求主持人一篇中文核心,有什么渠道能发核心吗
已经有3人回复
孩子确诊有中度注意力缺陷
已经有14人回复
三甲基碘化亚砜的氧化反应
已经有4人回复
请问下大家为什么这个铃木偶联几乎不反应呢
已经有5人回复
请问有评职称,把科研教学业绩算分排序的高校吗
已经有5人回复
2025冷门绝学什么时候出结果
已经有3人回复
天津工业大学郑柳春团队欢迎化学化工、高分子化学或有机合成方向的博士生和硕士生加入
已经有4人回复
康复大学泰山学者周祺惠团队招收博士研究生
已经有6人回复
AI论文写作工具:是科研加速器还是学术作弊器?
已经有3人回复
11楼2017-08-31 09:33:22
feixiaolin
荣誉版主 (文坛精英)
-

专家经验: +518 - 应助: 942 (博后)
- 贵宾: 1.275
- 金币: 2930
- 散金: 58785
- 红花: 532
- 沙发: 11
- 帖子: 24215
- 在线: 2601.8小时
- 虫号: 2139575
- 注册: 2012-11-21
- 专业: 光学信息获取与处理
- 管辖: 数学
2楼2014-10-18 20:24:16
Edstrayer
版主 (著名写手)
方寸斗室小天地正气迷漫大世界
- 数学EPI: 7
- 应助: 157 (高中生)
- 贵宾: 0.927
- 金币: 9349.6
- 散金: 4503
- 红花: 77
- 沙发: 2
- 帖子: 2745
- 在线: 1465.6小时
- 虫号: 3086598
- 注册: 2014-03-25
- 管辖: 数学

3楼2014-10-19 09:26:44
peterflyer
木虫之王 (文学泰斗)
peterflyer
- 数学EPI: 10
- 应助: 20282 (院士)
- 金币: 145656
- 红花: 1374
- 帖子: 93064
- 在线: 7693.7小时
- 虫号: 1482829
- 注册: 2011-11-08
- 性别: GG
- 专业: 功能陶瓷
4楼2014-10-19 09:50:13













回复此楼
,不知道你解决了没有?