| ²é¿´: 786 | »Ø¸´: 5 | |||
352107523½ð³æ (ÕýʽдÊÖ)
ÌìÑÄ
|
[ÇóÖú]
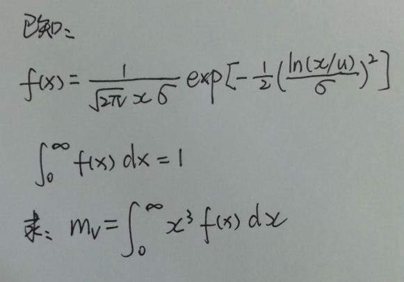
¶¨»ý·ÖÇóÖú ÒÑÓÐ2È˲ÎÓë
|
||
|
|
|||
feixiaolinÈÙÓþ°æÖ÷ (ÎÄ̳¾«Ó¢)
|
|||
|
2Â¥2014-09-30 21:13:37
|
|
||
352107523½ð³æ (ÕýʽдÊÖ)
ÌìÑÄ
|
|||
|
3Â¥2014-10-01 11:33:40
|
|
||
feixiaolinÈÙÓþ°æÖ÷ (ÎÄ̳¾«Ó¢)
|
|||
|
4Â¥2014-10-01 11:44:38
|
|
||
Edstrayer°æÖ÷ (ÖøÃûдÊÖ)
·½´ç¶·ÊÒСÌìµØÕýÆøÃÔÂþ´óÊÀ½ç
|
|||
![]() |
|||
|
5Â¥2014-10-01 12:53:20
|
|
||
peterflyer
|
¡¾´ð°¸¡¿Ó¦Öú»ØÌû
¡ï ¡ï ¡ï ¡ï ¡ï ¡ï ¡ï ¡ï ¡ï ¡ï ¡ï ¡ï ¡ï ¡ï ¡ï ¡ï ¡ï ¡ï ¡ï ¡ï ¡ï ¡ï ¡ï ¡ï ¡ï ¡ï ¡ï ¡ï ¡ï ¡ï ¡ï ¡ï ¡ï ¡ï ¡ï ¡ï ¡ï ¡ï ¡ï ¡ï ¡ï ¡ï ¡ï ¡ï ¡ï ¡ï ¡ï ¡ï ¡ï ¡ï
¸Ðл²ÎÓ룬ӦÖúÖ¸Êý +1 352107523: ½ð±Ò+50, ¡ï¡ï¡ïºÜÓаïÖú, ½á¹ûÍêÈ«ÕýÈ· 2014-10-05 14:38:49
|
||
|
6Â¥2014-10-01 14:08:52
|
|














»Ø¸´´ËÂ¥

