| 查看: 1681 | 回复: 1 | ||
luojian88新虫 (正式写手)
|
[求助]
量子点荧光寿命分析,拟合
|
|
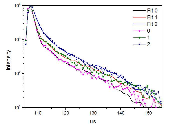
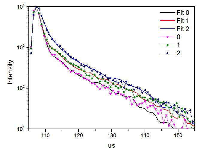
各位大神,求帮我分析一上这个量子点荧光寿命的数据啊。拟合后的曲线怎么不是光滑的曲线,有各种小峰。我问测试的老师是怎么会事(是他拟合的),他说拟合曲线不一定是光滑的曲经,关键看X2是否接近1就行了,这是真的吗? 荧光寿命图 |
» 猜你喜欢
求助Fe-TCPP、Zn-TCPP的CIF文件,或者CCDC号
已经有0人回复
XPS/?λXPS
已经有0人回复
无机化学论文润色/翻译怎么收费?
已经有114人回复
河北大学-26年秋季入学化学博士招生
已经有0人回复
招收2026年入学博士研究生
已经有10人回复
哈尔滨工程大学材化学院国家级青年人才-26年硕士招生/调剂招生
已经有2人回复
» 本主题相关价值贴推荐,对您同样有帮助:
origin 指数衰减拟合
已经有9人回复
量子点荧光淬灭
已经有7人回复
【求助】 量子点 寿命 双指数拟合对应的物理过程 【求助】
已经有8人回复
pH对量子点荧光的影响
已经有7人回复
关于量子点的荧光
已经有9人回复
量子点荧光的发光机理?
已经有3人回复
不同溶剂对量子点荧光的影响??
已经有9人回复
量子点荧光强度连续下降
已经有16人回复
氨基量子点 缓冲液 荧光下降
已经有4人回复
量子点的荧光显微镜测试
已经有9人回复
稀土离子荧光寿命拟合问题
已经有8人回复
在origin 里 荧光衰减平均寿命如何计算? 非指数衰减。
已经有22人回复
量子点纳米颗粒荧光效应方面求助
已经有22人回复
荧光寿命曲线拟合问题!
已经有7人回复
荧光的decay time 和 lifetime 的测定
已经有14人回复
【请教】量子点 紫外和荧光光谱
已经有26人回复
【求助】荧光寿命拟合
已经有3人回复
【讨论】量子点荧光探针
已经有6人回复
【求助】荧光材料荧光淬灭与荧光寿命有什么联系。
已经有6人回复

luojian88
新虫 (正式写手)
- 应助: 15 (小学生)
- 金币: 1518.1
- 散金: 109
- 红花: 11
- 帖子: 434
- 在线: 199.3小时
- 虫号: 1540049
- 注册: 2011-12-16
- 性别: GG
- 专业: 无机纳米化学

2楼2014-09-30 09:17:44













回复此楼