| ²é¿´: 9997 | »Ø¸´: 22 | ||||||
sww8969ľ³æ (ÕýʽдÊÖ)
ÇÒÐÐÇÒÕäϧ
|
[ÇóÖú]
ÔÚorigin Àï Ó«¹âË¥¼õƽ¾ùÊÙÃüÈçºÎ¼ÆË㣿 ·ÇÖ¸ÊýË¥¼õ¡£
|
|||||
|
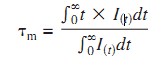
Çë½Ì¸ßÊÖ£¬ÔõôÓÃÏÂÃæµÄ¹«Ê½¼ÆËã ·ÇÖ¸ÊýË¥¼õµÄ ƽ¾ùÊÙÃü¡£ color] ÔõôÔÚ origin Àï¼ÆË㣿 ²âÊÔ³öÀ´µÄÊÙÃüË¥¼õÇúÏßÊÇ·ÇÖ¸ÊýµÄ¡£origin ×ö³öµÄͼ ÔõôÓÃÕâ¸ö¹«Ê½ÔÚorigin ÀïÃæËãÆ½¾ùÊÙÃüÄØ£¿ |
» ÊÕ¼±¾ÌûµÄÌÔÌûר¼ÍƼö
ÓÐÓõġ¢¾«²ÊµÄ¡¢×¨ÒµµÄÌû×Ó | ¹â´ß»¯ | רÓÃÌû×Ó¼¯ | AiryLee |
» ±¾ÌûÒÑ»ñµÃµÄºì»¨£¨×îÐÂ10¶ä£©
» ²ÂÄãϲ»¶
±±¿Æ281ѧ˶²ÄÁÏÇóµ÷¼Á
ÒѾÓÐ3È˻ظ´
AÇøÏß²ÄÁÏѧµ÷¼Á
ÒѾÓÐ3È˻ظ´
319Çóµ÷¼Á
ÒѾÓÐ3È˻ظ´
085700×ÊÔ´Óë»·¾³308Çóµ÷¼Á
ÒѾÓÐ12È˻ظ´
265Çóµ÷¼Á
ÒѾÓÐ10È˻ظ´
Ò»Ö¾Ô¸¼ªÁÖ´óѧ²ÄÁÏѧ˶321Çóµ÷¼Á
ÒѾÓÐ15È˻ظ´
0703»¯Ñ§µ÷¼Á £¬Áù¼¶Òѹý£¬ÓпÆÑоÀú
ÒѾÓÐ13È˻ظ´
Çóµ÷¼Á
ÒѾÓÐ3È˻ظ´
261ÇóBÇøµ÷¼Á£¬¿ÆÑоÀú·á¸»
ÒѾÓÐ4È˻ظ´
Çóµ÷¼Á
ÒѾÓÐ3È˻ظ´
» ±¾Ö÷ÌâÏà¹Ø¼ÛÖµÌùÍÆ¼ö£¬¶ÔÄúͬÑùÓаïÖú:
Çë½Ì¹ØÓÚ±¾»úµÄDmol¼ÆËãÎÊÌ⡪¡ªÍû¸ßÊÖÖ¸µã
ÒѾÓÐ6È˻ظ´
originѧϰ×ÊÁÏСºÏ¼¯¡¾×ªÔØ¡¿
ÒѾÓÐ192È˻ظ´
Ϊʲôº¬ÓÐÏ¡ÍÁÔªËØµÄ¼ÆËã¾ÍÕâôÄÑÄØ
ÒѾÓÐ16È˻ظ´
ÓÃMSÖеÄForcite¼ÆËã±ù£¬½á¹û·¢ÏÖζȲ¨¶¯Òì³£µÄ´ó£¬¸Ð¾õÏñ×öÖÜÆÚÐÔµÄÕðµ´Ë¥¼õ
ÒѾÓÐ6È˻ظ´
origin8.0ÖУ¬Ö¸ÊýË¥¼õÄâºÏ£¬ÄâºÏÇúÏߵľ«¶ÈÈçºÎÈ·¶¨£¿
ÒѾÓÐ5È˻ظ´
¡¾ÇóÖú¡¿originÖ¸ÊýË¥¼õÇúÏßÄâºÏ¡¾ÓÐЧÆÚÖÁ2011Äê7ÔÂ23ÈÕ¡¿
ÒѾÓÐ1È˻ظ´
¡¾ÇóÖú¡¿Ó«¹âÊÙÃüµÄ¼ÆËã
ÒѾÓÐ20È˻ظ´
¡¾ÇóÖú¡¿¹òÇóÓлúÎïµÄÓ«¹âÊÙÃü²âÁ¿¼°¼ÆËã·½·¨£¡£¡£¡
ÒѾÓÐ5È˻ظ´
¡¾ÌÖÂÛ¡¿ÄÚ¾ÛÄܼÆËãÎÊÌâ
ÒѾÓÐ8È˻ظ´
ORIGIN»Ö¸ÊýÇúÏß
ÒѾÓÐ8È˻ظ´

ljss_1986
½ð³æ (ÕýʽдÊÖ)
- Ó¦Öú: 12 (СѧÉú)
- ½ð±Ò: 736.4
- É¢½ð: 591
- ºì»¨: 1
- Ìû×Ó: 309
- ÔÚÏß: 561.5Сʱ
- ³æºÅ: 356889
- ×¢²á: 2007-04-26
- ÐÔ±ð: GG
- רҵ: ÄÜÔ´»¯¹¤
¡¾´ð°¸¡¿Ó¦Öú»ØÌû
¡ï
¸Ðл²ÎÓ룬ӦÖúÖ¸Êý +1
sww8969(½ð±Ò+5): 2011-12-19 08:59:17
zhaohaixing(½ð±Ò+1): ¹ÄÀø½»Á÷~ 2011-12-22 20:24:41
¸Ðл²ÎÓ룬ӦÖúÖ¸Êý +1
sww8969(½ð±Ò+5): 2011-12-19 08:59:17
zhaohaixing(½ð±Ò+1): ¹ÄÀø½»Á÷~ 2011-12-22 20:24:41
| ¸Ð¾õÊÇÖ¸ÊýµÄ°¡£¬Ó¦¸ÃÊÇ˫ָÊýµÄ£¬ÓÃorigin×Ô´øµÄ˫ָÊý»òÈýÖ¸ÊýÄâºÏ¿´¿´£¬Ó¦¸ÃûÎÊÌ⣬Y(t)=a1*exp(-t/t1)+a2*exp(-t/t2)£¬ÕâÊÇ˫ָÊýµÄ£¬ÈýÖ¸ÊýÀàÍÆ¡£origin¸ø³öÄâºÏ²ÎÊýºó£¬Äã¾ÍÖªµÀa1,a2,t1,t2¡£¾Í¿ÉÒÔ¼ÆËãÆ½¾ùʱ¼ät=£¨a1*t1^2+a2*t2^2£©/£¨a1*t1+a2*t2£© |
3Â¥2011-12-19 06:23:14
liufciomp
ľ³æ (СÓÐÃûÆø)
- Ó¦Öú: 8 (Ó×¶ùÔ°)
- ½ð±Ò: 963.7
- ºì»¨: 2
- Ìû×Ó: 217
- ÔÚÏß: 160.9Сʱ
- ³æºÅ: 99240
- ×¢²á: 2005-11-11
- ÐÔ±ð: GG
- רҵ: Äý¾Û̬ÎïÐÔ II £ºµç×ӽṹ
¡¾´ð°¸¡¿Ó¦Öú»ØÌû
¡ï
¸Ðл²ÎÓ룬ӦÖúÖ¸Êý +1
sww8969(½ð±Ò+5): ¡ïÓаïÖú àÅÄÄ ¶àл¸ßÈËÖ¸µã£¬.ÎÒÊÔÊÔ°¡ ¡£ 2011-12-20 19:20:34
zhaohaixing(½ð±Ò+1): ¹ÄÀø½»Á÷~ 2011-12-22 20:24:56
¸Ðл²ÎÓ룬ӦÖúÖ¸Êý +1
sww8969(½ð±Ò+5): ¡ïÓаïÖú àÅÄÄ ¶àл¸ßÈËÖ¸µã£¬.ÎÒÊÔÊÔ°¡ ¡£ 2011-12-20 19:20:34
zhaohaixing(½ð±Ò+1): ¹ÄÀø½»Á÷~ 2011-12-22 20:24:56
|
ÈôÊDz»Óù«Ê½£¬¿ÉÒÔÖ±½Óȡǿ¶È½µÎªÁãʱ¿Ì1/e´¦µÄʱ¼ä£¬¾ÍÊÇÊÙÃüÖµ¡£ ÈôÊÇÓÃÄãÁеĹ«Ê½£¬ÔÚÊý¾Ý±í¸ñÖÐÌí¼ÓÒ»ÁÐ(set as Y)£¬ÊýֵȡΪt*I£¬»³öÀ´£¬´ËʱxÖỹÊÇʱ¼ä£¬×ö»ý·Ö¡£ÔÙÓô˻ý·Ö³ýÒÔÇ¿¶È¶Ôʱ¼äµÄ»ý·Ö¼´¿É¡£ |
6Â¥2011-12-20 10:06:06
ÑóÑóÒ¹ÉñÔÂ
½ð³æ (СÓÐÃûÆø)
- Ó¦Öú: 0 (Ó×¶ùÔ°)
- ½ð±Ò: 832.5
- É¢½ð: 94
- ºì»¨: 2
- Ìû×Ó: 300
- ÔÚÏß: 77.6Сʱ
- ³æºÅ: 1739502
- ×¢²á: 2012-04-06
- ÐÔ±ð: MM
- רҵ: ²£Á§²ÄÁÏ
11Â¥2012-07-29 20:28:16
ljss_1986
½ð³æ (ÕýʽдÊÖ)
- Ó¦Öú: 12 (СѧÉú)
- ½ð±Ò: 736.4
- É¢½ð: 591
- ºì»¨: 1
- Ìû×Ó: 309
- ÔÚÏß: 561.5Сʱ
- ³æºÅ: 356889
- ×¢²á: 2007-04-26
- ÐÔ±ð: GG
- רҵ: ÄÜÔ´»¯¹¤
¡¾´ð°¸¡¿Ó¦Öú»ØÌû
¡ï
zhaohaixing(½ð±Ò+1): ¹ÄÀø½»Á÷~ 2011-12-22 20:24:50
zhaohaixing(½ð±Ò+1): ¹ÄÀø½»Á÷~ 2011-12-22 20:24:50
| ²»ÖªµÀΪɶһ¶¨ÒªÓÃÄǸö¹«Ê½Ë㣬ÎÒÃǶ¼ÓÃÖ¸ÊýµÄ£¬Äã¿ÉÒÔ²é²éÎÄÏ×£¬ÕâÖֺܶ࣬Á¿×ÓµãµÄÓ«¹âÊÙÃü¶¼ÕâÑùËãµÄ£¬²»¹ýÄãµÄÄǸö¹«Ê½matlab¿ÉÒԵģ¬originûÊÔ¹ý |
5Â¥2011-12-20 00:15:57
ljss_1986
½ð³æ (ÕýʽдÊÖ)
- Ó¦Öú: 12 (СѧÉú)
- ½ð±Ò: 736.4
- É¢½ð: 591
- ºì»¨: 1
- Ìû×Ó: 309
- ÔÚÏß: 561.5Сʱ
- ³æºÅ: 356889
- ×¢²á: 2007-04-26
- ÐÔ±ð: GG
- רҵ: ÄÜÔ´»¯¹¤
14Â¥2013-03-17 22:41:23
´ç²ÝÓÐÐÄ
ͳæ (СÓÐÃûÆø)
- Ó¦Öú: 0 (Ó×¶ùÔ°)
- ½ð±Ò: 489.8
- Ìû×Ó: 133
- ÔÚÏß: 61.8Сʱ
- ³æºÅ: 1652071
- ×¢²á: 2012-02-29
- ÐÔ±ð: GG
- רҵ: ÎÞ»úÄÉÃ×»¯Ñ§
|
Ó«¹âÊÙÃü²»ÊÇÓ¦¸ÃµÈÓÚ¸÷ÄâºÏt µÄ¼ÓȨƽ¾ùֵô£¿ ¼´ ˫ָÊýÄâºÏ t=(a1*t1+a2*t2)/£¨a1+a2£© СÉú¸Õ½Ó´¥£¬³ÏÐÄÇë½Ì´óÉñ¡£¡£¡£¡£ÁíÍ⣬ÇëÎÊ´óÉñ£¬ÄúµÄ¼ÆËã·½·¨Óвο¼×ÊÁÏô£¿Ð»Ð» |
16Â¥2014-05-29 10:25:09
sww8969
ľ³æ (ÕýʽдÊÖ)
ÇÒÐÐÇÒÕäϧ
- Ó¦Öú: 3 (Ó×¶ùÔ°)
- ½ð±Ò: 4098.4
- É¢½ð: 108
- ºì»¨: 23
- ɳ·¢: 2
- Ìû×Ó: 863
- ÔÚÏß: 141.9Сʱ
- ³æºÅ: 1383705
- ×¢²á: 2011-08-30
- ÐÔ±ð: MM
- רҵ: ÎÞ»ú·Ç½ðÊôÀà¹âµçÐÅÏ¢Ó빦
¡ï
zhaohaixing(½ð±Ò+1): ¹ÄÀø½»Á÷~ 2011-12-22 20:24:30
zhaohaixing(½ð±Ò+1): ¹ÄÀø½»Á÷~ 2011-12-22 20:24:30
|
¾ÍÊÇt *I(t) µÄ»ý·Ö ÔõôÔÚorigin ÀïÃæ¼ÆË㣿£¿ I(t) Ö±½Ó»ý·ÖÎÒ»áËã¡£ÔÚ³ËÒÔ¸öt ²»ÖªµÀÔõôËãÁË ![]() |

2Â¥2011-12-18 20:15:46
sww8969
ľ³æ (ÕýʽдÊÖ)
ÇÒÐÐÇÒÕäϧ
- Ó¦Öú: 3 (Ó×¶ùÔ°)
- ½ð±Ò: 4098.4
- É¢½ð: 108
- ºì»¨: 23
- ɳ·¢: 2
- Ìû×Ó: 863
- ÔÚÏß: 141.9Сʱ
- ³æºÅ: 1383705
- ×¢²á: 2011-08-30
- ÐÔ±ð: MM
- רҵ: ÎÞ»ú·Ç½ðÊôÀà¹âµçÐÅÏ¢Ó빦

4Â¥2011-12-19 08:59:09
sww8969
ľ³æ (ÕýʽдÊÖ)
ÇÒÐÐÇÒÕäϧ
- Ó¦Öú: 3 (Ó×¶ùÔ°)
- ½ð±Ò: 4098.4
- É¢½ð: 108
- ºì»¨: 23
- ɳ·¢: 2
- Ìû×Ó: 863
- ÔÚÏß: 141.9Сʱ
- ³æºÅ: 1383705
- ×¢²á: 2011-08-30
- ÐÔ±ð: MM
- רҵ: ÎÞ»ú·Ç½ðÊôÀà¹âµçÐÅÏ¢Ó빦

7Â¥2011-12-20 19:21:24
seekerboy
¾èÖú¹ó±ö (Ö°Òµ×÷¼Ò)
Сľ³æµÄ³¬¼¶·ÛË¿
- Ó¦Öú: 13 (СѧÉú)
- ¹ó±ö: 0.02
- ½ð±Ò: 6262.8
- É¢½ð: 31
- ºì»¨: 10
- Ìû×Ó: 4143
- ÔÚÏß: 780.3Сʱ
- ³æºÅ: 271336
- ×¢²á: 2006-08-12
- ÐÔ±ð: GG
- רҵ: ½ºÌåÓë½çÃæ»¯Ñ§
¡ï
ËÍÏÊ»¨Ò»¶ä
zhaohaixing(½ð±Ò+1): ¹ÄÀø½»Á÷~ 2011-12-22 20:25:22
ËÍÏÊ»¨Ò»¶äzhaohaixing(½ð±Ò+1): ¹ÄÀø½»Á÷~ 2011-12-22 20:25:22
|
Â¥Ö÷£¬Äú µÄÎÊÌâ½â¾öÁËû£¿ÎÒ¿´6Â¥µÄ»Ø´ðÓ¦¸ÃÊǶԵİɣ¿ µ«ÎÒÓÃÁíÍâÒ»¸ö¹«Ê½ËãÁËÏÂ×Ô¼ºµÄÊý¾Ý£¬·¢ÏÖÁ½¸ö²î±ðÓеã´ó¡£ ²»ÖªµÀÄãÓÐûÓÐÓÃÁ½¸ö·½·¨µÄ¼ÆËã½á¹û¶Ô±Èһϡ£ |

8Â¥2011-12-22 19:47:26
sww8969
ľ³æ (ÕýʽдÊÖ)
ÇÒÐÐÇÒÕäϧ
- Ó¦Öú: 3 (Ó×¶ùÔ°)
- ½ð±Ò: 4098.4
- É¢½ð: 108
- ºì»¨: 23
- ɳ·¢: 2
- Ìû×Ó: 863
- ÔÚÏß: 141.9Сʱ
- ³æºÅ: 1383705
- ×¢²á: 2011-08-30
- ÐÔ±ð: MM
- רҵ: ÎÞ»ú·Ç½ðÊôÀà¹âµçÐÅÏ¢Ó빦

9Â¥2011-12-22 21:27:04
seekerboy
¾èÖú¹ó±ö (Ö°Òµ×÷¼Ò)
Сľ³æµÄ³¬¼¶·ÛË¿
- Ó¦Öú: 13 (СѧÉú)
- ¹ó±ö: 0.02
- ½ð±Ò: 6262.8
- É¢½ð: 31
- ºì»¨: 10
- Ìû×Ó: 4143
- ÔÚÏß: 780.3Сʱ
- ³æºÅ: 271336
- ×¢²á: 2006-08-12
- ÐÔ±ð: GG
- רҵ: ½ºÌåÓë½çÃæ»¯Ñ§

10Â¥2011-12-23 08:52:41













»Ø¸´´ËÂ¥
