| 查看: 992 | 回复: 2 | ||
li350488102新虫 (初入文坛)
|
[求助]
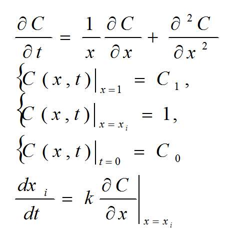
跪求大神帮忙求解一个偏微分方程,要求得出解析解,如果得不到解析解近似解也可。
|
|
跪求大神帮忙求解一个偏微分方程(软件求解也可),希望得出解析解,即C(x,t)的表达式,如果得不到解析解近似解也可。 提示:可能与贝塞尔函数有关。 图片中第一个方程为偏微分方程,后面四个是边界条件和初始条件。 注意:Xi是随时间变动的。C0,C1,k都是常数。 微分方程求解.jpg |
» 猜你喜欢
依托企业入选了国家启明计划青年人才。有无高校可以引进的。
已经有9人回复
有时候真觉得大城市人没有县城人甚至个体户幸福
已经有11人回复
表哥与省会女结婚,父母去帮带孩子被省会女气回家生重病了
已经有7人回复
同年申请2项不同项目,第1个项目里不写第2个项目的信息,可以吗
已经有8人回复
依托企业入选了国家启明计划青年人才。有无高校可以引进的。
已经有10人回复
天津大学招2026.09的博士生,欢迎大家推荐交流(博导是本人)
已经有9人回复
有院领导为了换新车,用横向课题经费买了俩车
已经有10人回复
AI 太可怕了,写基金时,提出想法,直接生成的文字比自己想得深远,还有科学性
已经有6人回复
» 本主题相关价值贴推荐,对您同样有帮助:
请教群里各位数学牛人,下面这个微分方程如何解?
已经有16人回复
matlab求解,求大神
已经有1人回复
请教一下各位大神怎么求解 Runge–Kutta method的微分方程的各个系数
已经有12人回复
求助,帮忙求解下面方程组,谢谢!
已经有13人回复
如何把一个方程的时域数值解变换到频域数值解?
已经有5人回复
哪位大神帮忙看一下MATLAB求解微分方程的问题?
已经有3人回复
MATLAB微分方程参数拟合问题,求大神
已经有7人回复
脉冲微分方程内涵
已经有3人回复
【求助】常微分方程组的解析解
已经有3人回复
li350488102
新虫 (初入文坛)
- 应助: 0 (幼儿园)
- 金币: 25.5
- 帖子: 14
- 在线: 14.3小时
- 虫号: 2779459
- 注册: 2013-11-05
- 专业: 金属非晶态、准晶和纳米晶
2楼2014-10-19 00:06:41
3楼2016-12-06 10:25:49













回复此楼