| 查看: 7178 | 回复: 21 | |||
[求助]
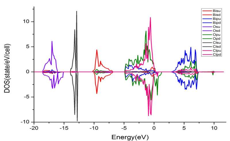
vasp计算表面态密度自旋向上和向下不对称 已有1人参与
|
|||
|
|
|||
|
2楼2014-09-27 21:40:36
|
|
||
|
3楼2014-09-28 18:49:56
|
|
||
wujiandongde木虫 (小有名气)
|
|||
|
4楼2014-09-28 19:42:34
|
|
||
|
5楼2014-09-29 09:47:33
|
|
||
wujiandongde木虫 (小有名气)
|
|||
|
6楼2014-09-29 09:49:04
|
|
||
|
7楼2014-09-29 10:11:11
|
|
||
卡开发发专家顾问 (著名写手)
Ab Initio Amateur
|
|||
![]() |
|||
|
8楼2014-09-29 12:51:16
|
|
||
wujiandongde木虫 (小有名气)
|
|||
|
9楼2014-09-29 18:52:30
|
|
||
|
10楼2014-09-29 20:06:18
|
|














回复此楼

