版块导航
正在加载中...
客户端APP下载
论文辅导
申博辅导
登录
注册
帖子
帖子
用户
本版
应《网络安全法》要求,自2017年10月1日起,未进行实名认证将不得使用互联网跟帖服务。为保障您的帐号能够正常使用,请尽快对帐号进行手机号验证,感谢您的理解与支持!
24小时热门版块排行榜
>
论坛更新日志
(517)
>
虫友互识
(45)
>
休闲灌水
(29)
>
导师招生
(18)
>
硕博家园
(9)
>
考研
(9)
>
论文投稿
(9)
>
教师之家
(5)
>
考博
(5)
>
公派出国
(5)
>
招聘信息布告栏
(4)
>
博后之家
(4)
>
留学生活
(4)
>
基金申请
(3)
>
功能材料
(2)
>
论文道贺祈福
(2)
小木虫论坛-学术科研互动平台
»
材料区
»
无机非金属
»
交流探讨
»
氧化石墨的XRD
2
1/1
返回列表
查看: 501 | 回复: 1
只看楼主
@他人
存档
新回复提醒
(忽略)
收藏
在APP中查看
Sheryl0155
银虫
(小有名气)
应助: 0
(幼儿园)
金币: 251
帖子: 51
在线: 17.9小时
虫号: 2728080
注册: 2013-10-16
性别:
MM
专业: 无机非金属基复合材料
[
求助
]
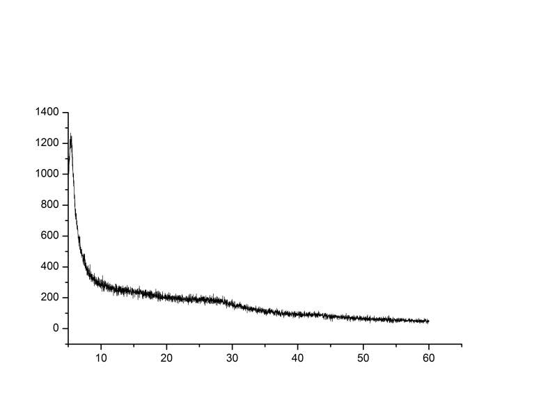
氧化石墨的XRD
已有1人参与
这是我的XRD,到底是什么问题呀
Graph1.jpg
回复此楼
» 猜你喜欢
请问有评职称,把科研教学业绩算分排序的高校吗
已经有6人回复
2025冷门绝学什么时候出结果
已经有6人回复
Bioresource Technology期刊,第一次返修的时候被退回好几次了
已经有7人回复
真诚求助:手里的省社科项目结项要求主持人一篇中文核心,有什么渠道能发核心吗
已经有8人回复
寻求一种能扛住强氧化性腐蚀性的容器密封件
已经有5人回复
请问哪里可以有青B申请的本子可以借鉴一下。
已经有4人回复
请问下大家为什么这个铃木偶联几乎不反应呢
已经有5人回复
天津工业大学郑柳春团队欢迎化学化工、高分子化学或有机合成方向的博士生和硕士生加入
已经有4人回复
康复大学泰山学者周祺惠团队招收博士研究生
已经有6人回复
AI论文写作工具:是科研加速器还是学术作弊器?
已经有3人回复
» 本主题相关商家推荐:
(我也要在这里推广)
» 本主题相关价值贴推荐,对您同样有帮助:
氧化石墨xrd峰向高角度偏移问题
已经有4人回复
氧化石墨复合材料XRD中石墨烯峰的问题
已经有9人回复
氧化石墨和氧化石墨烯的英文缩写如何表达?
已经有5人回复
关于石墨纤维xrd谱图峰的含义
已经有6人回复
石墨烯的XRD与TEM电子衍射
已经有10人回复
石墨烯纳米片的XRD图谱与石墨的区别是什么?
已经有5人回复
XRD如图,能否确定氧化石墨还原了?
已经有9人回复
氧化石墨烯掺杂后的XRD问题
已经有5人回复
氧化石墨烯的XRD测试
已经有20人回复
石墨烯与氧化石墨的XRD,石墨烯是否合成成功?
已经有48人回复
Ni基合金氧化后表面成份XRD测试图谱求指导
已经有8人回复
氧化石墨的XRD图的疑问及其它问题
已经有25人回复
请教关于石墨烯XRD的问题
已经有26人回复
关于氧化石墨被还原成氧化石墨烯后的XRD
已经有13人回复
怎么从XRD峰计算氧化石墨的片层间距
已经有6人回复
请问下面的XRD和XPS能说明是石墨烯吗?
已经有4人回复
【求助】氧化石墨烯红外、XRD表征
已经有24人回复
【求助】石墨的氧化温度
已经有19人回复
【分享】新方法高效还原氧化石墨烯薄膜
已经有20人回复
【求助】石墨的预氧化
已经有15人回复
【求助】简明扼要说明氧化石墨与膨胀石墨的区别。
已经有13人回复
【请教】氧化石墨及石墨烯的干燥问题!
已经有15人回复
1楼
2014-09-12 11:25:36
已阅
回复此楼
关注TA
给TA发消息
送TA红花
TA的回帖
feely185163
新虫
(初入文坛)
应助: 4
(幼儿园)
金币: 17.6
红花: 1
帖子: 37
在线: 11.3小时
虫号: 1659735
注册: 2012-03-02
专业: 无机非金属类电介质与电解
【答案】应助回帖
★ ★ ★ ★ ★
感谢参与,应助指数 +1
Sheryl0155: 金币+5
2014-09-14 11:28:44
应属非晶,故 XRD测不出其晶相~
赞
一下
回复此楼
2楼
2014-09-12 14:38:44
已阅
回复此楼
关注TA
给TA发消息
送TA红花
TA的回帖
相关版块跳转
材料综合
材料工程
微米和纳米
晶体
金属
无机非金属
生物材料
功能材料
复合材料
我要订阅楼主
Sheryl0155
的主题更新
2
1/1
返回列表
如果回帖内容含有宣传信息,请如实选中。否则帐号将被全论坛禁言
普通表情
龙
兔
虎
猫
百度网盘
|
360云盘
|
千易网盘
|
华为网盘
在新窗口页面中打开自己喜欢的网盘网站,将文件上传后,然后将下载链接复制到帖子内容中就可以了。
信息提示
关闭
请填处理意见
关闭
确定