| 查看: 1302 | 回复: 2 | ||
fantasy1990铜虫 (小有名气)
|
[求助]
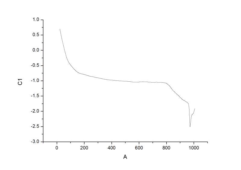
非晶粉末和非晶涂层(含有一定的晶相)DSC曲线,求大神们帮忙分析。
|
|
我在利用非晶材料在铝合金表面制备了非晶涂层,XRD显示漫散射峰,但在漫散射峰上有许多晶相峰,表明具有一定的非晶相。我把原先的非晶材料(上图)和涂层(下图)磨成粉末,做了DSC分析,结果如下,求大神分析通过这两图能分析出是否存在非晶相或非晶的热力学特征值(过冷液相区,Tg等)。不甚感激。 涂层.jpg 非晶粉末.jpg |
» 猜你喜欢
到新单位后,换了新的研究方向,没有团队,持续积累2区以上论文,能申请到面上吗
已经有7人回复
申请2026年博士
已经有5人回复
天津工业大学郑柳春团队欢迎化学化工、高分子化学或有机合成方向的博士生和硕士生加入
已经有5人回复
寻求一种能扛住强氧化性腐蚀性的容器密封件
已经有6人回复
2025冷门绝学什么时候出结果
已经有7人回复
请问有评职称,把科研教学业绩算分排序的高校吗
已经有6人回复
Bioresource Technology期刊,第一次返修的时候被退回好几次了
已经有7人回复
请问哪里可以有青B申请的本子可以借鉴一下。
已经有4人回复
请问下大家为什么这个铃木偶联几乎不反应呢
已经有5人回复
康复大学泰山学者周祺惠团队招收博士研究生
已经有6人回复
» 本主题相关商家推荐: (我也要在这里推广)
» 本主题相关价值贴推荐,对您同样有帮助:
985大四小本求大神帮忙分析
已经有4人回复
想申请欧洲博士,求大神帮忙分析
已经有49人回复
请教DSC曲线分析
已经有10人回复
求大神帮忙分析一下这些透射图。。。菜鸟级别,越通俗易懂越好。多谢!
已经有7人回复
急急急急急急,TEM测试的图太模糊了,求大神帮忙分析原因!
已经有19人回复
求大神帮忙分析以下拉伸断口扫描图片
已经有6人回复
BET 吸脱附曲线分析,求大神帮忙
已经有6人回复
求助DSC曲线分析
已经有5人回复
求助粉末衍射图谱分析-晶型和非晶型
已经有6人回复
求大神告诉下模拟软件
已经有4人回复
求助:非晶碳的TEM分析
已经有12人回复
求大神帮我分析下胶带~
已经有9人回复
TEM的非晶衍射求分析
已经有7人回复
非晶端口形貌,各位大神帮忙分析一下,多谢多谢(图)
已经有5人回复
能否通过dsc曲线中有晶化峰判断样品中存在非晶
已经有5人回复
【求助】铝基非晶DSC图
已经有9人回复

|
本帖内容被屏蔽 |
2楼2014-09-10 21:24:58
fantasy1990
铜虫 (小有名气)
- 应助: 0 (幼儿园)
- 金币: 15.3
- 帖子: 109
- 在线: 64.4小时
- 虫号: 2247265
- 注册: 2013-01-17
- 性别: GG
- 专业: 金属材料表面科学与工程

3楼2014-09-11 07:26:38













回复此楼