| 查看: 684 | 回复: 0 | ||
雪雨星风17木虫 (小有名气)
无
|
[求助]
NVT系综求热容问题。
|
|
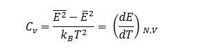
求解热容问题的Cv,前面一个式子是什么意思呢?似乎是后面的一个式子的数值解法么,我直接用后面的能量对温度求导,得到的突变点Cv是负值,这样计算的Cv是错的还是取绝对值呢? X_JHI%9W8}4G%GRF[Z99DY1.jpg |
» 猜你喜欢
基于基元I统一理论的量子力学本源推导
已经有1人回复
推荐一款可以AI辅助写作的Latex编辑器SmartLatexEditor,超级好用,AI润色,全免费
已经有20人回复
物理学I论文润色/翻译怎么收费?
已经有279人回复
【EI|Scopus 双检索】第六届智能机器人系统国际会议(ISoIRS 2026)
已经有1人回复
2026年第四届电动车与车辆工程国际会议(CEVVE 2026)
已经有0人回复

找到一些相关的精华帖子,希望有用哦~
DSC求出的熱焓,轉換成熱容???
已经有3人回复
怎么根据恒压摩尔热容与温度的函数关系式求升高的温度啊
已经有6人回复
跪求乙醇的定压比热容
已经有3人回复
急求!恒压比热容的单位问题!
已经有10人回复
【求助】二氧化锡的热容和导热系数是多少?
已经有5人回复
压缩空气的定压比热容怎么求?
已经有3人回复
求助:计算出的热容单位换算
已经有12人回复
求助材料专业同学:晶格热容、电子热容、电子热导率是可以测量的吗?
已经有15人回复
【求助】VASP做分子动力学模拟NVT系综下为啥内能竟然是升高的?
已经有8人回复
求石墨的比热容,有效期至2010年10月1日
已经有3人回复
【求助】固液气的热容比较
已经有4人回复
【求助】热容流率概念
已经有5人回复
科研从小木虫开始,人人为我,我为人人













回复此楼
点击这里搜索更多相关资源