| 查看: 2296 | 回复: 6 | ||
[求助]
怎么根据恒压摩尔热容与温度的函数关系式求升高的温度啊
|
|
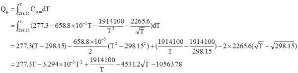
已知恒压摩尔热容与温度的函数关系式: Cpm = 277.3 - 658.8*10^(-5)•T - 1914100•T^(-2) - 2265.6•T^(-0.5) 起始温度为298.15K,吸收的1kJ的热量后,升高了多少温度?怎么算啊?谢谢! [ Last edited by sddtc888 on 2013-11-21 at 21:38 ] |
» 猜你喜欢
武汉纺织大学-材料科学与工程学院-姜伟杰青团队-招生物方向调剂
已经有0人回复
武汉纺织大学-材料科学与工程学院-招 生物方向 硕士!
已经有0人回复
有机高分子材料论文润色/翻译怎么收费?
已经有222人回复
武汉纺织大学-材料科学与工程学院-姜伟杰青团队-招生物方向调剂
已经有0人回复
[武汉纺织大学]材料学院[姜伟团队名称]课题组-2026年硕士研究生调剂信息
已经有0人回复
武汉纺织大学-材料科学与工程学院-姜伟杰青团队-招调剂
已经有0人回复
生物医学材料前沿科普:低密度、高孔隙率的“多孔微球”核心技术与应用全景
已经有1人回复
湖南工业大学周贵寅组招生物医学工程(学硕07、08都行)、生物与医药(专硕08)硕士生
已经有0人回复
湖南工业大学周贵寅组招生物医学工程(学硕07、08都行)和生物与医药(专硕08)硕士生
已经有0人回复
考研求调剂
已经有0人回复
2026年中南民族大学化学与材料科学学院调剂公告
已经有29人回复
» 本主题相关价值贴推荐,对您同样有帮助:
急,急,急~~~谁知道无机物不同温度下的吉布斯自由能,万分感谢!
已经有6人回复
求证一热力学证明题
已经有5人回复
关于不同温度下反应热的计算求解
已经有3人回复
关于考物化乙的问题
已经有6人回复
CO的摩尔定压热容与温度的关系式
已经有4人回复
氢氧化钙的比热容随温度的关系式
已经有1人回复
sddtc888
至尊木虫 (著名写手)
Hψ=Eψ S=klnΩ dS≥δQ/T
- ICEPI: 4
- 应助: 181 (高中生)
- 贵宾: 2.508
- 金币: 10753.4
- 散金: 1948
- 红花: 29
- 沙发: 1
- 帖子: 1609
- 在线: 1165.1小时
- 虫号: 1410152
- 注册: 2011-09-20
- 性别: GG
- 专业: 凝聚态物性 II :电子结构

2楼2013-11-19 18:59:45
sddtc888: 编辑内容 2013-11-21 21:33
|
我就想知道最后那个方程怎么解,谢谢! [ 发自手机版 http://muchong.com/3g ] [ Last edited by sddtc888 on 2013-11-21 at 21:33 ] |
3楼2013-11-20 18:46:03
sddtc888
至尊木虫 (著名写手)
Hψ=Eψ S=klnΩ dS≥δQ/T
- ICEPI: 4
- 应助: 181 (高中生)
- 贵宾: 2.508
- 金币: 10753.4
- 散金: 1948
- 红花: 29
- 沙发: 1
- 帖子: 1609
- 在线: 1165.1小时
- 虫号: 1410152
- 注册: 2011-09-20
- 性别: GG
- 专业: 凝聚态物性 II :电子结构
【答案】应助回帖
★ ★ ★ ★ ★ ★
xili1988: 金币+6, ★★★★★最佳答案 2013-11-22 22:12:38
xili1988: 金币+6, ★★★★★最佳答案 2013-11-22 22:12:38

4楼2013-11-22 21:04:15
5楼2013-11-22 22:18:51
6楼2013-12-11 20:08:59
7楼2013-12-14 00:03:01














回复此楼
Thanks,很详细,我试着用迭代法做了 