版块导航
正在加载中...
客户端APP下载
登录
注册
帖子
帖子
用户
本版
应《网络安全法》要求,自2017年10月1日起,未进行实名认证将不得使用互联网跟帖服务。为保障您的帐号能够正常使用,请尽快对帐号进行手机号验证,感谢您的理解与支持!
24小时热门版块排行榜
>
论坛更新日志
(2569)
>
虫友互识
(208)
>
硕博家园
(128)
>
导师招生
(105)
>
基金申请
(105)
>
考博
(46)
>
文献求助
(40)
>
休闲灌水
(38)
>
职场人生
(35)
>
论文投稿
(35)
>
教师之家
(34)
>
招聘信息布告栏
(28)
>
有机交流
(24)
>
考研
(15)
>
博后之家
(14)
>
材料综合
(11)
小木虫论坛-学术科研互动平台
»
专业学科区
»
地学
»
地球物理
»
急求公式出处
5
1/1
返回列表
查看: 634 | 回复: 4
只看楼主
@他人
存档
新回复提醒
(忽略)
收藏
在APP中查看
upcDu
银虫
(初入文坛)
应助: 0
(幼儿园)
金币: 882.1
红花: 3
帖子: 33
在线: 8.3小时
虫号: 3234057
注册: 2014-05-26
专业: 应用地球物理学
[
求助
]
急求公式出处
已有1人参与
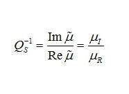
跪求下面公式的出处,在那个文献里提出的。谢谢
图片20140907085851.jpg
回复此楼
» 猜你喜欢
首次在隐伏矿体上方发现金、硫酸铅、硝酸铅、三氧化钨等含金属纳米微粒
已经有8人回复
求助:有没有大神有流体包裹体计算软件
已经有0人回复
地球化学论文润色/翻译怎么收费?
已经有288人回复
青C最后一年,散金祈福吧
已经有48人回复
没中,有点难受,科研也许就到这了,回归生活吧
已经有15人回复
地区已中,感谢虫友们!
已经有109人回复
355 B区地质调剂
已经有1人回复
解锁青少年负责任决策的关键:基于PISA 2022全球数据的SEL维度研究成果发表
已经有1人回复
282求调剂
已经有0人回复
» 本主题相关价值贴推荐,对您同样有帮助:
计算洛仑兹常数
已经有4人回复
请问下面图中棱镜的放大率和透光率公式是什么?急求
已经有6人回复
求助,该公式出自哪里,表示什么意思?
已经有4人回复
求助解释一个数学公式
已经有6人回复
请教一个关于香农公式的问题!急求!
已经有4人回复
求解释一个 公式 来自《排水工程》 张自杰 急 多谢了 !!
已经有8人回复
求助啊,用origin拟合曲线。方程式中出现E,是什么意思啊
已经有6人回复
急求用人与鼠换算公式计算小鼠用药剂量问题
已经有4人回复
阿伦尼乌斯公式求速率常数K
已经有5人回复
黄芪甲苷的计算公式
已经有5人回复
速率常数公式 计算公式出处
已经有150人回复
请问有关于量子限制尺寸和半导体发光波长的相关的计算公式么?
已经有4人回复
【求助】光学性质计算中介电常数虚部公式中的各项所代表的意思
已经有3人回复
LDA+U算法中唯独LDAUTYPE = 4算不了,啥原因?
已经有6人回复
求多个磁粒子体系的磁化率计算公式解释
已经有20人回复
急求好心人解释基金申请帮助里面的“如何编辑填写包含图表的报告正文”两段话意思!
已经有6人回复
【求助】急求 电容器中关于功率密度的计算公式是什么
已经有4人回复
【求助】请问合并方差怎么计算,最好能提供原始出处
已经有10人回复
【求助】急求解释一下ESI-MS谱
已经有3人回复
1楼
2014-09-07 09:03:45
已阅
回复此楼
关注TA
给TA发消息
送TA红花
TA的回帖
再见北极雪
木虫
(著名写手)
快乐家族之打酱油的小伙计
应助: 0
(幼儿园)
金币: 3957.8
红花: 1
帖子: 1155
在线: 163小时
虫号: 917802
注册: 2009-12-01
专业: 地震学
石大杜启振老师的学生?
赞
一下
回复此楼
2楼
2014-09-19 16:27:32
已阅
回复此楼
关注TA
给TA发消息
送TA红花
TA的回帖
upcDu
银虫
(初入文坛)
应助: 0
(幼儿园)
金币: 882.1
红花: 3
帖子: 33
在线: 8.3小时
虫号: 3234057
注册: 2014-05-26
专业: 应用地球物理学
引用回帖:
2楼
:
Originally posted by
再见北极雪
at 2014-09-19 16:27:32
石大杜启振老师的学生?
是石大的,不是杜老师的
赞
一下
回复此楼
3楼
2014-09-20 12:04:19
已阅
回复此楼
关注TA
给TA发消息
送TA红花
TA的回帖
baobiao007
4楼
2014-09-20 16:31:20
已阅
回复此楼
关注TA
给TA发消息
送TA红花
TA的回帖
gdx619721364
银虫
(小有名气)
应助: 0
(幼儿园)
金币: 378.2
帖子: 65
在线: 11.7小时
虫号: 3181334
注册: 2014-05-05
性别: GG
专业: 应用地球物理学
【答案】应助回帖
★ ★ ★
upcDu: 金币+3,
★
有帮助
2014-10-29 08:53:20
这个好像是复变函数的定义的一个虚部与实部比值。你可以找找。
赞
一下
回复此楼
实话实说
5楼
2014-09-25 08:34:34
已阅
回复此楼
关注TA
给TA发消息
送TA红花
TA的回帖
相关版块跳转
数理科学综合
机械
物理
数学
农林
食品
地学
能源
信息科学
土木建筑
航空航天
转基因
我要订阅楼主
upcDu
的主题更新
5
1/1
返回列表
如果回帖内容含有宣传信息,请如实选中。否则帐号将被全论坛禁言
普通表情
龙
兔
虎
猫
百度网盘
|
360云盘
|
千易网盘
|
华为网盘
在新窗口页面中打开自己喜欢的网盘网站,将文件上传后,然后将下载链接复制到帖子内容中就可以了。
信息提示
关闭
请填处理意见
关闭
确定