| 查看: 1076 | 回复: 6 | ||
1073835632新虫 (小有名气)
|
[求助]
核磁求助醋酸乙烯酯 已有1人参与
|
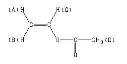
| 想求助一个醋酸乙烯酯的核磁谱图(H谱,试剂是氘代氯仿) |
» 猜你喜欢
交叉科学部支持青年基金,对三无青椒是个机会吗?
已经有3人回复
国家级人才课题组招收2026年入学博士
已经有5人回复
Fe3O4@SiO2合成
已经有6人回复
青年基金C终止
已经有4人回复
青椒八年已不青,大家都被折磨成啥样了?
已经有7人回复
为什么nbs上溴 没有产物点出现呢
已经有10人回复
救命帖
已经有11人回复
招博士
已经有5人回复
26申博求博导推荐-遥感图像处理方向
已经有4人回复
限项规定
已经有7人回复
» 本主题相关商家推荐: (我也要在这里推广)
» 本主题相关价值贴推荐,对您同样有帮助:
核磁H-谱 问题求助
已经有9人回复
核磁波谱分析求助
已经有4人回复
求助:固体核磁氢谱分析
已经有4人回复
核磁P谱求助!急!!!
已经有5人回复
二胺核磁分析求助
已经有37人回复
15金币求助核磁分析软件nuts!!
已经有11人回复
【求助】H核磁
已经有4人回复
【求助】怎么清洗核磁管?谢谢大家了。
已经有29人回复
【求助】PE,PP核磁怎么做?
已经有37人回复
【求助】求助核磁dt问题
已经有3人回复
【求助】核磁谱图
已经有5人回复
【求助】核磁手动积分步骤?
已经有7人回复
【求助】求助关于核磁软件MestRe-C的使用问题
已经有5人回复
【求助】纯度达到多少才能做核磁?
已经有22人回复
【求助】醋酸乙烯酯和甲基丙烯酸甲酯反应
已经有34人回复
【求助】核磁解析
已经有9人回复
【求助】做核磁对于样品溶解要求
已经有9人回复
【求助】核磁
已经有19人回复
【求助】求高人分析核磁谱图!
已经有13人回复
【求助】5毫克样品能不能做核磁?
已经有35人回复
【求助】请问去打核磁共振谱图前,我需要准备些什么?
已经有11人回复
【求助】想做固体核磁需要准备那些东西那?样品需要多大量那?
已经有7人回复
Dragon7663
银虫 (正式写手)
- 应助: 25 (小学生)
- 金币: 1029.2
- 红花: 15
- 帖子: 306
- 在线: 211.5小时
- 虫号: 705173
- 注册: 2009-02-20
- 性别: GG
- 专业: 高分子合成化学

2楼2014-08-25 20:43:00
1073835632
新虫 (小有名气)
- 应助: 0 (幼儿园)
- 金币: 237.8
- 散金: 30
- 帖子: 69
- 在线: 54小时
- 虫号: 1895768
- 注册: 2012-07-16
- 性别: MM
- 专业: 高分子合成化学
3楼2014-08-26 15:10:51
1073835632
新虫 (小有名气)
- 应助: 0 (幼儿园)
- 金币: 237.8
- 散金: 30
- 帖子: 69
- 在线: 54小时
- 虫号: 1895768
- 注册: 2012-07-16
- 性别: MM
- 专业: 高分子合成化学
4楼2014-08-26 15:28:42
Dragon7663
银虫 (正式写手)
- 应助: 25 (小学生)
- 金币: 1029.2
- 红花: 15
- 帖子: 306
- 在线: 211.5小时
- 虫号: 705173
- 注册: 2009-02-20
- 性别: GG
- 专业: 高分子合成化学

5楼2014-08-26 16:14:27
Dragon7663
银虫 (正式写手)
- 应助: 25 (小学生)
- 金币: 1029.2
- 红花: 15
- 帖子: 306
- 在线: 211.5小时
- 虫号: 705173
- 注册: 2009-02-20
- 性别: GG
- 专业: 高分子合成化学

6楼2014-08-26 16:19:09
1073835632
新虫 (小有名气)
- 应助: 0 (幼儿园)
- 金币: 237.8
- 散金: 30
- 帖子: 69
- 在线: 54小时
- 虫号: 1895768
- 注册: 2012-07-16
- 性别: MM
- 专业: 高分子合成化学
7楼2014-08-26 16:24:31













回复此楼