²é¿´: 271  |  »Ø¸´: 0

qq624574345

гæ (³õÈëÎÄ̳)

[ÇóÖú] ¸÷λºÃÐÄͬѧÅóÓÑ£¬°ï°ïæ¿´¿´ÎÒÕâ¸öÎÊÌâÈçºÎ½â´ð

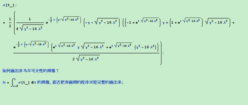
ÎÒҪͨ¹ý×öͼÇó½â·ÇÂí¶û¿É·ò¶È£¬ÈçºÎ±à³Ì»­³öÎÒÕâ¸öͼÐγöÀ´£¬Äܸø³ö»­Í¼µÄ³ÌÐò¸øÎÒ²»£¿Ð»Ð»¸÷λͬÐеĹØ×¢

¸÷λºÃÐÄͬѧÅóÓÑ£¬°ï°ïæ¿´¿´ÎÒÕâ¸öÎÊÌâÈçºÎ½â´ð
I6H)P7(41[16_5UWSHC1}$K.jpg
»Ø¸´´ËÂ¥
²©²ÊÖ®³¤
ÒÑÔÄ   »Ø¸´´ËÂ¥   ¹Ø×¢TA ¸øTA·¢ÏûÏ¢ ËÍTAºì»¨ TAµÄ»ØÌû

ÖÇÄÜ»úÆ÷ÈË

Robot (super robot)

ÎÒÃǶ¼°®Ð¡Ä¾³æ

ÕÒµ½Ò»Ð©Ïà¹ØµÄ¾«»ªÌû×Ó£¬Ï£ÍûÓÐÓÃŶ~

¿ÆÑдÓСľ³æ¿ªÊ¼£¬ÈËÈËΪÎÒ£¬ÎÒΪÈËÈË
Ïà¹Ø°æ¿éÌø×ª ÎÒÒª¶©ÔÄÂ¥Ö÷ ѧԱLn5RD5 µÄÖ÷Ìâ¸üÐÂ
ÐÅÏ¢Ìáʾ
ÇëÌî´¦ÀíÒâ¼û