| 查看: 1288 | 回复: 10 | ||
[求助]
求教:如果找到有向无环图里各点到顶点的深度呢?拜托了! 已有2人参与
|
|
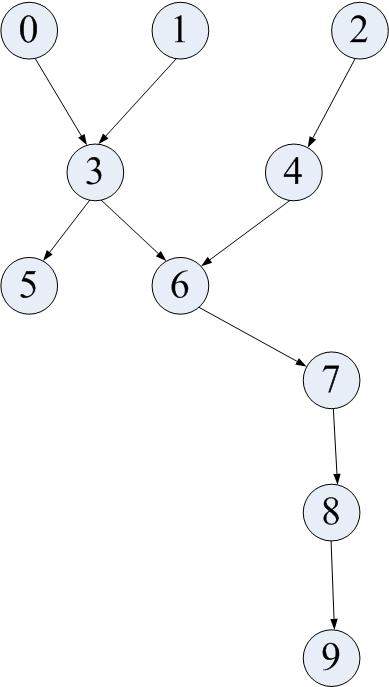
各位大侠: 请求高人指点,我是做一个排序问题,问题已经转化成了一个有向无环图,想通过这个图找到每个点所在的层次关系,例如这样的一个有向无环图 最后我想要得到的结果是,点0,1,2在第一层,3,4在第二层,5,6在第三层,7在第四层,8在第五层,9在第六层…… 请问,如何用c语言实现呢?哪怕给个算法思想也行啊,我对数组比较熟,但是不知道能否实现它? 拜托了! 有向无环图.jpg |
» 猜你喜欢
362求调剂
已经有14人回复
求调剂 302分初试 0854
已经有4人回复
299求调剂
已经有4人回复
266分,一志愿电气工程,本科材料,求材料专业调剂
已经有3人回复
312求调剂
已经有4人回复
315求调剂
已经有7人回复
土木304求调剂
已经有3人回复
316求调剂
已经有16人回复
一志愿华东理工大学,080500学硕,317分,求调剂
已经有13人回复
材料与化工306分找调剂
已经有9人回复
锐利的碎片
木虫 (正式写手)
star watcher
- 应助: 136 (高中生)
- 金币: 3637.1
- 散金: 252
- 红花: 22
- 帖子: 988
- 在线: 1224.9小时
- 虫号: 961933
- 注册: 2010-03-05
- 专业: 凝聚态物性 II :电子结构
【答案】应助回帖
★ ★
感谢参与,应助指数 +1
fanyuan315: 金币+2, ★有帮助, 谢谢您的提示,原理上我明白,现在就差具体的用程序实现了。感谢您的帮助! 2014-07-24 14:35:01
感谢参与,应助指数 +1
fanyuan315: 金币+2, ★有帮助, 谢谢您的提示,原理上我明白,现在就差具体的用程序实现了。感谢您的帮助! 2014-07-24 14:35:01
2楼2014-07-24 11:10:20
枪下游魂
木虫 (著名写手)
- 应助: 718 (博后)
- 金币: 8336.9
- 散金: 175
- 红花: 80
- 帖子: 1498
- 在线: 542.6小时
- 虫号: 2620258
- 注册: 2013-08-28
- 专业: 理论和计算化学
3楼2014-07-28 09:29:02
4楼2014-07-28 15:54:26
5楼2014-07-28 16:00:46
枪下游魂
木虫 (著名写手)
- 应助: 718 (博后)
- 金币: 8336.9
- 散金: 175
- 红花: 80
- 帖子: 1498
- 在线: 542.6小时
- 虫号: 2620258
- 注册: 2013-08-28
- 专业: 理论和计算化学
【答案】应助回帖
|
你的意思是每一层用一个数组表示吧? 这个我没仔细想过,但是如果假设你已经知道了每一层的元素,以及层与层之间的从属关系,我觉得用struct结构数组会比较简单吧?也就是每个元素都是一个结构,这个结构里面有所属层号,上属元素,下属元素。 比如说 struct chain { int layer_number; int up_element; int down_element; } *elements; 但是按照你的思路,似乎你不关心这一层元素与其它层元素的关系? 那以你的二维数组为基础,从最后一行的最后一个元素,比如说9开始,可以往前做一个搜索:9的起始层数为0,然后9和8在一个一维数组里且9是后面那个,9的层数+1;8和7在一个一维数组里且8是后面那个,9的层数+1;以此类推,直到遍历完所有行。这里面要设一个if,就是如果一个数字在两个数组里都出现且都是后面那个,那层数不变。最后把同层元素放在一个数组里 中间应该还有可以节省时间的地方。 |
6楼2014-07-29 08:10:41
7楼2014-07-29 08:54:20
8楼2014-07-29 08:58:11
枪下游魂
木虫 (著名写手)
- 应助: 718 (博后)
- 金币: 8336.9
- 散金: 175
- 红花: 80
- 帖子: 1498
- 在线: 542.6小时
- 虫号: 2620258
- 注册: 2013-08-28
- 专业: 理论和计算化学
9楼2014-07-29 09:22:41
10楼2014-07-29 09:35:05














回复此楼