| ²é¿´: 7933 | »Ø¸´: 5 | |||
iyearnͳæ (СÓÐÃûÆø)
|
[ÇóÖú]
originÄâºÏÕðµ´Ë¥¼õÇúÏߵķåÖµ ÒÑÓÐ1È˲ÎÓë
|
|
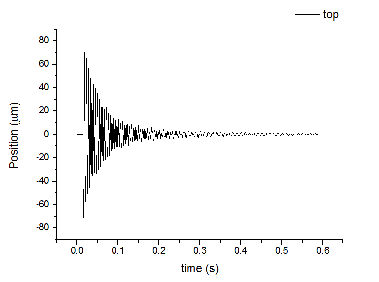
´ó¼ÒºÃ£¬ ÎÒ²âµÃÒ»×éÕðµ´Ë¥¼õÇúÏߣ¬ÎÒÏëÄâºÏËü·åÖµ£¨Õ𵴱߽磩£¬È»ºóÇó³öËüµÄ×èÄá¡£ÇëÎÊÓÃoriginÈçºÎʵÏÖ£¿Ð»Ð» nihe.png |
» ÊÕ¼±¾ÌûµÄÌÔÌûר¼ÍƼö
ÂÛÎÄ |
» ²ÂÄãϲ»¶
ɽÎ÷´óͬ´óѧÎïÀíѧ˶ʿÑо¿ÉúÕÐÊÕµ÷¼ÁÉú
ÒѾÓÐ0È˻ظ´
[µ÷¼ÁÐÅÏ¢]211ÖÇÄÜÈ˹¤¸ÐÖª·½Ïò¹ú¼ÒÇàÄêÌØÆ¸×¨¼Ò¿ÎÌâ×éÕÐÊÕµ÷¼ÁÑо¿Éú
ÒѾÓÐ0È˻ظ´
ÎïÀíѧIÂÛÎÄÈóÉ«/·ÒëÔõôÊÕ·Ñ?
ÒѾÓÐ81È˻ظ´
£Ûµ÷¼ÁÐÅÏ¢£Ý211ÖÇÄÜÈ˹¤¸ÐÖª·½Ïò¹ú¼ÒÇàÄêÌØÆ¸×¨¼Ò¿ÎÌâ×éÕÐÊÕµ÷¼ÁÑо¿Éú
ÒѾÓÐ0È˻ظ´
[µ÷¼ÁÐÅÏ¢]211ÖÇÄÜÈ˹¤¸ÐÖª·½Ïò¹ú¼ÒÇàÄêÌØÆ¸×¨¼Ò¿ÎÌâ×éÕÐÊÕµ÷¼ÁÑо¿Éú
ÒѾÓÐ0È˻ظ´
0702Ò»Ö¾Ô¸¼ª´óBÇøÇóµ÷¼Á ±¾¿ÆÆÚ¼ä·¢±íһƪSci
ÒѾÓÐ2È˻ظ´
070200Çóµ÷¼Á£¬Ò»Ö¾Ô¸Ä³211£¬288·Ö
ÒѾÓÐ18È˻ظ´
·¨¹ú²©Ê¿ºóְλ
ÒѾÓÐ0È˻ظ´
ÖØÇì½»´ó26Äê˶ʿÉúÕÐÉúÄâµ÷¼Á֪ͨÒѳö£¡»¶Ó¼ÓÈë»úÆ÷ÊÓ¾õÓë3D¹âѧ³ÉÏñ¿ÎÌâ×é¡£
ÒѾÓÐ0È˻ظ´
» ±¾Ö÷ÌâÏà¹Ø¼ÛÖµÌùÍÆ¼ö£¬¶ÔÄúͬÑùÓаïÖú:
origin Ö¸ÊýË¥¼õÄâºÏ
ÒѾÓÐ9È˻ظ´
originÖÐÈçºÎɾµôÒ»ÁÐÊý¾Ý
ÒѾÓÐ3È˻ظ´
¡¾ÇóÖú¡¿ Á¿×Óµã ÊÙÃü ˫ָÊýÄâºÏ¶ÔÓ¦µÄÎïÀí¹ý³Ì ¡¾ÇóÖú¡¿
ÒѾÓÐ8È˻ظ´
ÇóÖúÓÃorigin8.0Çó·åÖµ¼°·åÖµÃæ»ý¸÷×Ô´ú±íµÄº¬ÒåÊÇ£¿
ÒѾÓÐ4È˻ظ´
origin ×öºìÍâ¹âÆ× Ôõô²ÅÄܱê×¢ÉÏ·åÖµ
ÒѾÓÐ6È˻ظ´
ÇúÏßÄâºÏµÄÎÊÌ⣬ʵÔÚÕÒ²»µ½ÇúÏßÄâºÏ±í´ïʽ£¬Çó½â
ÒѾÓÐ8È˻ظ´
ÓÃorigin×÷IRͼ£¬ÈçºÎµÃµ½·åÖµ
ÒѾÓÐ40È˻ظ´
Ë¥¼õ½ç¶¨ÎªÊ²Ã´ÓóõʼֵµÄ1/eÄØ£¿
ÒѾÓÐ7È˻ظ´
ÇëÎÊorigin8.0ÈçºÎʰȡ·åֵĨ£¿
ÒѾÓÐ1È˻ظ´
¡¾ÇóÖú¡¿ÈçºÎÔÚorigin7.5Öбê·åÖµ£¿
ÒѾÓÐ9È˻ظ´

microtao
ÖÁ×ðľ³æ (ÖøÃûдÊÖ)
- Ó¦Öú: 81 (³õÖÐÉú)
- ¹ó±ö: 0.264
- ½ð±Ò: 28222.5
- ºì»¨: 38
- Ìû×Ó: 2283
- ÔÚÏß: 454.7Сʱ
- ³æºÅ: 77774
- ×¢²á: 2005-07-01
- ÐÔ±ð: GG
- רҵ: Ï𽺼°µ¯ÐÔÌå
¡¾´ð°¸¡¿Ó¦Öú»ØÌû
¡ï ¡ï ¡ï ¡ï ¡ï ¡ï ¡ï ¡ï ¡ï ¡ï
¸Ðл²ÎÓ룬ӦÖúÖ¸Êý +1
iyearn: ½ð±Ò+10, ¡ï¡ï¡ï¡ï¡ï×î¼Ñ´ð°¸, Ì«¸ÐлÁË£¡Õâ¾ÍÊÇÎÒÒªµÄ£¡ 2014-07-18 10:21:57
¸Ðл²ÎÓ룬ӦÖúÖ¸Êý +1
iyearn: ½ð±Ò+10, ¡ï¡ï¡ï¡ï¡ï×î¼Ñ´ð°¸, Ì«¸ÐлÁË£¡Õâ¾ÍÊÇÎÒÒªµÄ£¡ 2014-07-18 10:21:57
|
²Ëµ¥Ñ¡Ôñ Analysis: Signal Processing: Envelope ³öÏÖX-Function¶Ô»°¿ò. ÔÚEnvelope type ÏÂÀ²Ëµ¥ÖÐÑ¡ÔñBoth Envelopes . ÉèÖÃSmooth PointsΪ1. °´ OK Ö´ÐÐ. ͼÐλá³öÏÖÉÏϵİüÂçÏß. |
2Â¥2014-07-17 18:12:40
15616028538
гæ (³õÈëÎÄ̳)
- Ó¦Öú: 0 (Ó×¶ùÔ°)
- ½ð±Ò: 3
- Ìû×Ó: 3
- ÔÚÏß: 49·ÖÖÓ
- ³æºÅ: 6525403
- ×¢²á: 2017-05-14
3Â¥2018-03-09 20:03:11
nep_1
гæ (СÓÐÃûÆø)
- Ó¦Öú: 0 (Ó×¶ùÔ°)
- ½ð±Ò: 370.6
- Ìû×Ó: 116
- ÔÚÏß: 22.3Сʱ
- ³æºÅ: 1817778
- ×¢²á: 2012-05-15
- ÐÔ±ð: GG
- רҵ: ȼÉÕѧ
4Â¥2018-08-03 16:00:17
¶À¹ÂÉñÓî
°æÖ÷ (ÖªÃû×÷¼Ò)
- Ó¦Öú: 490 (˶ʿ)
- ¹ó±ö: 0.008
- ½ð±Ò: 31016.3
- É¢½ð: 802
- ºì»¨: 122
- ɳ·¢: 1
- Ìû×Ó: 5600
- ÔÚÏß: 856.5Сʱ
- ³æºÅ: 3522474
- ×¢²á: 2014-11-06
- ÐÔ±ð: GG
- רҵ: »úе¶¯Á¦Ñ§
- ¹ÜϽ: ¼ÆËãÄ£Äâ

5Â¥2018-08-03 16:03:14
freeze010
Òø³æ (СÓÐÃûÆø)
- Ó¦Öú: 5 (Ó×¶ùÔ°)
- ½ð±Ò: 270.6
- ºì»¨: 6
- Ìû×Ó: 132
- ÔÚÏß: 41.5Сʱ
- ³æºÅ: 3195195
- ×¢²á: 2014-05-10
- ÐÔ±ð: GG
- רҵ: Á÷ÌåÁ¦Ñ§
6Â¥2020-07-29 19:42:06














»Ø¸´´ËÂ¥