| 查看: 1517 | 回复: 10 | ||
yangaihong银虫 (小有名气)
|
[求助]
求教大侠以下质谱图的具体分析过程 已有1人参与
|
|
|
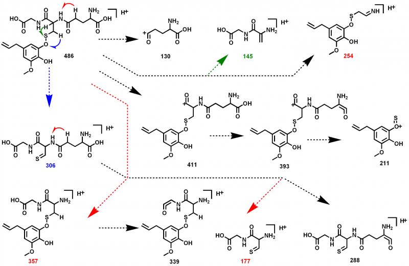
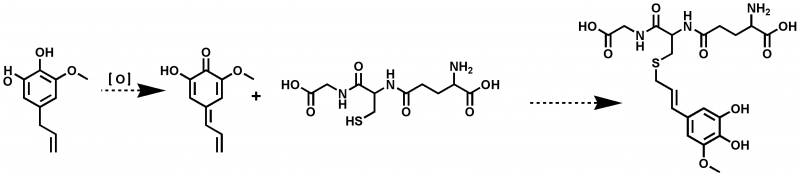
分子量为180的化合物和GSH结合得到485化合物。 分子量:[485+H+]=486,正离子模式。 问题:1、145的碎片为什么不是147? 2、411~393, 306~288,211~193都是少了18,是少了水分子吧,但是结构上怎么去掉的呢? 3、306的结构分析的对吗? 4、211、177和179的结构不知道是什么样的? 谢谢啦! |
» 猜你喜欢
一志愿华南师范大学0702物理学305调剂
已经有5人回复
求调剂
已经有30人回复
266求调剂
已经有10人回复
297求调剂
已经有16人回复
326分,一志愿沪9,求生物学调剂
已经有4人回复
288求调剂,一志愿华南理工大学071005
已经有3人回复
304求调剂
已经有13人回复
调剂
已经有18人回复
293调剂
已经有4人回复
338求调剂
已经有7人回复
» 本主题相关商家推荐: (我也要在这里推广)
» 本主题相关价值贴推荐,对您同样有帮助:
求教大侠这两个结构是怎么结合的呀?结合之后分子量少了2,谢谢~
已经有5人回复
求教大侠以下质谱图是怎么分析的呀
已经有6人回复
求大侠,结构鉴定……质谱,红外等
已经有4人回复
液相-质谱分析中的一个问题求助各位大侠
已经有10人回复
【求助】质谱图上ES+ ES- 是什么意思????????10个金币求助
已经有6人回复
【求助】质谱图求解,请大侠帮忙推个结构~
已经有13人回复
wy19871124
新虫 (职业作家)
质谱首席顾问
- ACI: 2
- 应助: 551 (博士)
- 金币: 1607.6
- 散金: 959
- 红花: 183
- 帖子: 3052
- 在线: 447.4小时
- 虫号: 1593016
- 注册: 2012-01-31
- 性别: GG
- 专业: 质谱分析
7楼2014-07-14 18:34:19
wy19871124
新虫 (职业作家)
质谱首席顾问
- ACI: 2
- 应助: 551 (博士)
- 金币: 1607.6
- 散金: 959
- 红花: 183
- 帖子: 3052
- 在线: 447.4小时
- 虫号: 1593016
- 注册: 2012-01-31
- 性别: GG
- 专业: 质谱分析
2楼2014-07-14 14:36:35
wy19871124
新虫 (职业作家)
质谱首席顾问
- ACI: 2
- 应助: 551 (博士)
- 金币: 1607.6
- 散金: 959
- 红花: 183
- 帖子: 3052
- 在线: 447.4小时
- 虫号: 1593016
- 注册: 2012-01-31
- 性别: GG
- 专业: 质谱分析
3楼2014-07-14 17:59:02
wy19871124
新虫 (职业作家)
质谱首席顾问
- ACI: 2
- 应助: 551 (博士)
- 金币: 1607.6
- 散金: 959
- 红花: 183
- 帖子: 3052
- 在线: 447.4小时
- 虫号: 1593016
- 注册: 2012-01-31
- 性别: GG
- 专业: 质谱分析
4楼2014-07-14 17:59:29
wy19871124
新虫 (职业作家)
质谱首席顾问
- ACI: 2
- 应助: 551 (博士)
- 金币: 1607.6
- 散金: 959
- 红花: 183
- 帖子: 3052
- 在线: 447.4小时
- 虫号: 1593016
- 注册: 2012-01-31
- 性别: GG
- 专业: 质谱分析
5楼2014-07-14 17:59:53
wy19871124
新虫 (职业作家)
质谱首席顾问
- ACI: 2
- 应助: 551 (博士)
- 金币: 1607.6
- 散金: 959
- 红花: 183
- 帖子: 3052
- 在线: 447.4小时
- 虫号: 1593016
- 注册: 2012-01-31
- 性别: GG
- 专业: 质谱分析
6楼2014-07-14 18:00:20
8楼2014-07-15 09:50:35
yangaihong
银虫 (小有名气)
- 应助: 0 (幼儿园)
- 金币: 1514.5
- 散金: 70
- 红花: 1
- 帖子: 81
- 在线: 25.9小时
- 虫号: 2977589
- 注册: 2014-02-19
- 性别: MM
- 专业: 药物代谢与药物动力学
9楼2014-07-15 09:57:59

10楼2014-09-29 10:20:12














回复此楼
yangaihong