| 查看: 1022 | 回复: 6 | |
yangaihong银虫 (小有名气)
|
[求助]
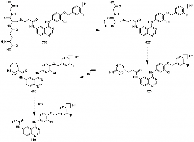
求教大侠以下质谱图是怎么分析的呀
|
|
|
|
wy19871124新虫 (职业作家)
质谱首席顾问
|
|
|
2楼2014-07-11 14:02:35
|
|
yangaihong银虫 (小有名气)
|
|
|
3楼2014-07-11 15:50:53
|
|
wy19871124新虫 (职业作家)
质谱首席顾问
|
|
|
4楼2014-07-11 18:33:27
|
|
yangaihong银虫 (小有名气)
|
|
|
5楼2014-07-12 09:27:11
|
|
wy19871124新虫 (职业作家)
质谱首席顾问
|
» 本帖已获得的红花(最新10朵) |
|
6楼2014-07-12 13:45:52
|
|
yangaihong银虫 (小有名气)
|
|
|
7楼2014-07-12 18:09:39
|
|













回复此楼
yangaihong
5