| ²é¿´: 2823 | »Ø¸´: 7 | ||
htiejiangÒø³æ (ÕýʽдÊÖ)
|
[ÇóÖú]
ÔÚ±à³Ì¹ý³ÌÖУ¬Óöµ½·Ö×Ó·ÖĸͬʱΪÁãµÄÇé¿ö£¬ÔõÑù×ö ÒÑÓÐ6È˲ÎÓë
|
|
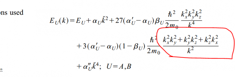
ÈçͼËùʾ£¬µ±x,y,z¶¼È¡0ʱºò£¬°´ÕÕÒ»°ã±à³Ì£¬Êä³öÊǸöNaN£¨not a number£©¡£¹À¼ÆÊÇÒòΪ·Öĸ³öÏÖÁËÁã¡£µ«ÊÇ ÏñÕâÑùµÄÇé¿öÔÚÒ»°ãÇé¿öÏÂÊÇ´æÔڵģ¬ÎÒÏëÎÊÏñÕâÑùµÄÇé¿ö³ÌÐò¸ÄÔõÃ´Ð´ÄØ£¬ ²¶»ñ.PNG |
» ²ÂÄãϲ»¶
»úе¹¤³Ì264ѧ˶Çóµ÷¼Á
ÒѾÓÐ3È˻ظ´
264Çóµ÷¼Á
ÒѾÓÐ9È˻ظ´
Çóµ÷¼Á
ÒѾÓÐ6È˻ظ´
22408 266Çóµ÷¼Á
ÒѾÓÐ7È˻ظ´
Çóµ÷¼Á
ÒѾÓÐ14È˻ظ´
273Çóµ÷¼Á
ÒѾÓÐ43È˻ظ´
307Çóµ÷¼Á
ÒѾÓÐ13È˻ظ´
327Çóµ÷¼Á
ÒѾÓÐ7È˻ظ´
338Çóµ÷¼Á
ÒѾÓÐ6È˻ظ´
326·Ö£¬Ò»Ö¾Ô¸»¦9£¬ÇóÉúÎïѧµ÷¼Á
ÒѾÓÐ3È˻ظ´
» ±¾Ö÷ÌâÏà¹ØÉ̼ÒÍÆ¼ö: (ÎÒÒ²ÒªÔÚÕâÀïÍÆ¹ã)
» ±¾Ö÷ÌâÏà¹Ø¼ÛÖµÌùÍÆ¼ö£¬¶ÔÄúͬÑùÓаïÖú:
ʹÓÃMultiwfn»ùÓÚÍêȫ̬ÇóºÍ(SOS)·½·¨¼ÆË㼫»¯Âʺͳ¬¼«»¯ÂÊ
ÒѾÓÐ8È˻ظ´
matlabÊýÖµ¼ÆËãʱµü´úÏî·ÖĸΪÁãµÄʱºòÔõô°ì£¿
ÒѾÓÐ15È˻ظ´
¼±Çó±à³Ì˼·£¡£¡Ð»Ð»¸÷λ
ÒѾÓÐ10È˻ظ´
VC++Öк¯Êý·µ»ØÊý×éÖ¸Õë»òÕß´øÖ¸ÕëµÄ½á¹¹ÌåµÄ±àÒ뷽ʽÊÇ·ñ¿ÉÈ¡£¿
ÒѾÓÐ6È˻ظ´
·Ö×Ó¶¯Á¦Ñ§Ä£ÄâʱÈçºÎÀûÓÃÖÜÆÚÐԱ߽çÌõ¼þ£¿£¿
ÒѾÓÐ5È˻ظ´
[WaraldÃÀ¹úְҵ̸]ΪPhDÕýÃû-˵˵phd²©Ê¿¾ÍÒµµÄһЩÎÊÌâ £¨È«ÎÄ£©
ÒѾÓÐ21È˻ظ´
ÔõôÓÃFortran È¥×öÇúÏßÄâºÏ£¿
ÒѾÓÐ25È˻ظ´
ÓÖÒ»´Î×öÁË·Öĸ¡ª¡ªÆÚ´ý2012³ÉΪ·Ö×Ó
ÒѾÓÐ385È˻ظ´
¡¾ÇóÖú¡¿ÓÃmonte carlo·¨×ö·Ö×ÓÄ£Ä⣬ÓÃʲô±à³ÌÓïÑÔʵÏֱȽϺã¿
ÒѾÓÐ25È˻ظ´
¡¾ÇóÖú¡¿·Ö×ÓµÄLJÊÆÄܲÎÊýµÄÄâºÏ
ÒѾÓÐ8È˻ظ´
¡¾sobereva¸öÈËÎ¿µç×Ó¶¨ÓòÐÔµÄͼÐηÖÎö
ÒѾÓÐ56È˻ظ´
¡¾ÇóÖú¡¿ÃÉ¿¨±à³ÌÎÊÌâ
ÒѾÓÐ15È˻ظ´
fengda02
ľ³æ (ÖøÃûдÊÖ)
- Ó¦Öú: 26 (СѧÉú)
- ½ð±Ò: 11200.1
- É¢½ð: 23
- ºì»¨: 9
- Ìû×Ó: 1726
- ÔÚÏß: 445.6Сʱ
- ³æºÅ: 3006537
- ×¢²á: 2014-03-01
- ÐÔ±ð: GG
- רҵ: µç´Å³¡Ó벨
¡¾´ð°¸¡¿Ó¦Öú»ØÌû
¸Ðл²ÎÓ룬ӦÖúÖ¸Êý +1
|
ÉèÌõ¼þ£¬Èç¹û·ÖĸΪ0£¬Êä³öʲô£¬Èç¹û²»Îª0Êä³öʲô [ ·¢×ÔСľ³æ¿Í»§¶Ë ] |

2Â¥2014-07-13 16:10:52
ÄÏá·
Òø³æ (СÓÐÃûÆø)
- Ó¦Öú: 4 (Ó×¶ùÔ°)
- ½ð±Ò: 1143.9
- É¢½ð: 76
- ºì»¨: 1
- Ìû×Ó: 190
- ÔÚÏß: 162.2Сʱ
- ³æºÅ: 1351408
- ×¢²á: 2011-07-20
- ÐÔ±ð: GG
- רҵ: ¹âѧ
3Â¥2014-07-13 16:29:21
jiangxingge
½ð³æ (ÕýʽдÊÖ)
- Ó¦Öú: 15 (СѧÉú)
- ½ð±Ò: 2498.6
- ºì»¨: 5
- Ìû×Ó: 322
- ÔÚÏß: 55.4Сʱ
- ³æºÅ: 3205681
- ×¢²á: 2014-05-14
- ÐÔ±ð: GG
- רҵ: ʯÓÍ¡¢ÌìÈ»ÆøµØÖÊѧ
4Â¥2014-07-13 20:15:16
jjdg
°æÖ÷ (ÖªÃû×÷¼Ò)
- ³ÌÐòÇ¿Ìû: 9
- Ó¦Öú: 223 (´óѧÉú)
- ¹ó±ö: 3.926
- ½ð±Ò: 51005.2
- ºì»¨: 238
- Ìû×Ó: 7227
- ÔÚÏß: 474.2Сʱ
- ³æºÅ: 27000
- ×¢²á: 2003-10-21
- רҵ: Ò©Îï´úлÓëÒ©ÎﶯÁ¦Ñ§
- ¹ÜϽ: ³ÌÐòÓïÑÔ

5Â¥2014-07-13 21:29:11
easezh
ľ³æ (ÖøÃûдÊÖ)
- Ó¦Öú: 24 (СѧÉú)
- ½ð±Ò: 10265.8
- ºì»¨: 12
- Ìû×Ó: 1542
- ÔÚÏß: 438.9Сʱ
- ³æºÅ: 1197825
- ×¢²á: 2011-01-29
- רҵ: ģʽʶ±ð
¡¾´ð°¸¡¿Ó¦Öú»ØÌû
¸Ðл²ÎÓ룬ӦÖúÖ¸Êý +1
| ¶¼ÎªÁãµÄʱºò£¬¿Ï¶¨ÊÇÓÐÒ»¸öÎïÀíÒâÒåµÄ£¬ÕâÀïµÄÇé¿öËÆºõÊÇ·Ö×ÓÊÇ·ÖĸµÄ·ÖÁ¿£¬Òò´Ë·ÖĸΪ0ʱÕûÌåӦΪ0¡£ Ö±½ÓÔÚ±à³Ìʱ¼ÓÒ»¸öÅжÏÈô·Öĸ=0Ôò±í´ïʽ=0¼´¿É¡£ |
6Â¥2014-07-13 22:30:08
supersunyan
½ð³æ (ÕýʽдÊÖ)
- Ó¦Öú: 10 (Ó×¶ùÔ°)
- ½ð±Ò: 1585.9
- É¢½ð: 1604
- ºì»¨: 9
- Ìû×Ó: 695
- ÔÚÏß: 296Сʱ
- ³æºÅ: 1145382
- ×¢²á: 2010-11-13
- ÐÔ±ð: GG
- רҵ: Á÷ÌåÁ¦Ñ§

7Â¥2014-07-13 23:33:56
ÃÎÔÚäìÏæ
Ìú¸Ëľ³æ (ÖøÃûдÊÖ)
- Ó¦Öú: 252 (´óѧÉú)
- ½ð±Ò: 5778.8
- É¢½ð: 2717
- ºì»¨: 44
- Ìû×Ó: 2792
- ÔÚÏß: 862Сʱ
- ³æºÅ: 1031369
- ×¢²á: 2010-05-29
- רҵ: ¹âѧ
8Â¥2014-07-13 23:55:49














»Ø¸´´ËÂ¥
10