| ²é¿´: 641 | »Ø¸´: 2 | ||
¹ÔÑÒÑÒ1990½ð³æ (СÓÐÃûÆø)
|
[ÇóÖú]
¼ì³öÏÞÎÊÌâÇóÖú ÒÑÓÐ1È˲ÎÓë
|
|
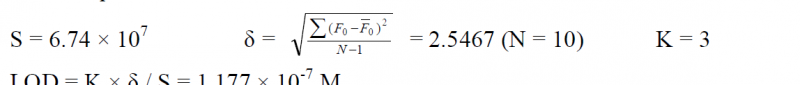
ÓйØÓÚÀë×Ó̽Õë¼ì³öÏÞµÄÎÊÌ⣬¿´¹ýµÄÎÄÏ×ÓÐÒ»ÖÖ·½·¨ËµÃ÷µÄºÜÏêϸ£¬ÈçͼËùʾ£¬Ç°ÃæµÄ¶¼Ã÷°×£¬¾ÍÊǵ½ÁËÇ󯫲îµÄÄǵط½£¬Óе㿴²»Ã÷°×ÁË£¬Çó´óÉñÃǸøÎÒÏêϸ˵һÏ¡£ÔÚÏߵȣ¡ ͼƬ1.png ͼƬ2.png |
» ²ÂÄãϲ»¶
2026 WRÇà°Î
ÒѾÓÐ7È˻ظ´
291Çóµ÷¼Á
ÒѾÓÐ9È˻ظ´
Ò»Ö¾Ô¸Öпƴó²ÄÁÏÓ뻯¹¤£¬353·Ö»¹Óе÷¼ÁѧУÂð
ÒѾÓÐ9È˻ظ´
271Çóµ÷¼Á
ÒѾÓÐ37È˻ظ´
É격×Ô¼ö
ÒѾÓÐ3È˻ظ´
300Çóµ÷¼Á
ÒѾÓÐ10È˻ظ´
26Äêµç³Ø·½Ïò²©Ê¿ÉêÇë
ÒѾÓÐ5È˻ظ´
¼±Ðèµ÷¼Á
ÒѾÓÐ6È˻ظ´
RY£ºÖйú²ú³öµÄ¿ÆÑ§À¬»øÂÛÎÄ£¬¾ø¶ÔÊýÁ¿ºÍ±ÈÀý¶¼ÊÀ½çµÚÒ»
ÒѾÓÐ18È˻ظ´
291Çóµ÷¼Á
ÒѾÓÐ8È˻ظ´
» ±¾Ö÷ÌâÏà¹Ø¼ÛÖµÌùÍÆ¼ö£¬¶ÔÄúͬÑùÓаïÖú:
GC-MS¼ì³öÏÞÎÊÌâ
ÒѾÓÐ3È˻ظ´
¼ì³öÏ޺ͽøÑùÁ¿ÓÐʲô¹ØÏµÄØ
ÒѾÓÐ12È˻ظ´
¿Õ°×ÑùÆ·ÖÐŨ¶È½Ï¸ßʱ£¬Ôõôȷ¶¨·½·¨µÄ¼ì³öÏ޺Ͷ¨Á¿ÏÞ£¿
ÒѾÓÐ13È˻ظ´
¿É¼û¹â·Ö¹â¹â¶È·¨µÄ¼ì³öÏÞÈçºÎµÃµ½
ÒѾÓÐ11È˻ظ´
·½·¨¼ì³öÏÞʵÑéÔõô×ö
ÒѾÓÐ12È˻ظ´
ÏßÐÔ·¶Î§µÄ×îµÍŨ¶ÈΪʲô±È¼ì³öÏÞ»¹µÍ
ÒѾÓÐ16È˻ظ´
ÈçºÎÈ·¶¨¼ì³öÏÞ
ÒѾÓÐ7È˻ظ´
Å©²Ð·ÖÎöÖУ¬×îµÍ¼ì³öÏÞÔõô¸ö×ö·¨ºÍËã·¨£¿
ÒѾÓÐ7È˻ظ´
É«Æ×¼ì³öÏÞµÄÎÊÌâ
ÒѾÓÐ9È˻ظ´
ÒÇÆ÷¼ì³öÏÞÓë·½·¨¼ì³öÏÞ
ÒѾÓÐ17È˻ظ´
Ô×ÓÎüÊÕ¹âÆ×¼ì³öÏÞÎÊÌâ
ÒѾÓÐ12È˻ظ´
¹ØÓÚHPLC¼ì³öÏÞµÄÎÊÌâ
ÒѾÓÐ3È˻ظ´
¡¾ÇóÖú¡¿²â¶¨ÏÂÏÞÓë×îµÍ¼ì³öÏÞµÄÇø±ð
ÒѾÓÐ9È˻ظ´
¡¾ÇóÖú¡¿Ò©ÎïÔÚÒºÏàÖеķåÃæ»ýºÍ¼ì³öÏÞ¾ù³öÏÖÎÊÌ⣬¸ÃÔõô°ì£¬´ó¼Ò°ïæ·ÖÎöÒ»ÏÂ
ÒѾÓÐ6È˻ظ´
¡¾ÇóÖú¡¿ÒºÏàÉ«Æ×¼ì³öÏÞ
ÒѾÓÐ11È˻ظ´
¡¾ÇóÖú¡¿Çë½Ìһϼì³öÏÞµÄÎÊÌâ
ÒѾÓÐ7È˻ظ´
¡¾ÇóÖú¡¿Çë½Ì·ÖÎö·½·¨µÄ¼ì³öÏÞÔõôÇó£¿
ÒѾÓÐ7È˻ظ´

jfxie_ustc
ľ³æ (ÕýʽдÊÖ)
- Ó¦Öú: 104 (¸ßÖÐÉú)
- ½ð±Ò: 1426.5
- É¢½ð: 2852
- ºì»¨: 30
- Ìû×Ó: 443
- ÔÚÏß: 99.3Сʱ
- ³æºÅ: 1810475
- ×¢²á: 2012-05-11
- רҵ: ÎÛȾ¿ØÖÆ»¯Ñ§
¡¾´ð°¸¡¿Ó¦Öú»ØÌû
¸Ðл²ÎÓ룬ӦÖúÖ¸Êý +1
|
Çë²Î¿¼µÚÒ»ÕµÚ11Ò³Öеıê׼ƫ²îµÄ¼ÆË㹫ʽ http://press.ustc.edu.cn/sites/d ... %AE%9E%E9%AA%8C.pdf |
2Â¥2014-07-02 10:12:33
äÎÃðµÄ´«Ëµ
½ð³æ (ÕýʽдÊÖ)
- Ó¦Öú: 0 (Ó×¶ùÔ°)
- ½ð±Ò: 1940.7
- É¢½ð: 10
- ºì»¨: 2
- Ìû×Ó: 443
- ÔÚÏß: 105.2Сʱ
- ³æºÅ: 4354658
- ×¢²á: 2016-01-13
- ÐÔ±ð: GG
- רҵ: Óлú·Ö×Ó¹¦ÄܲÄÁÏ»¯Ñ§

3Â¥2018-01-18 15:28:30













»Ø¸´´ËÂ¥
5