| ²é¿´: 6755 | »Ø¸´: 11 | ||
[ÇóÖú]
MATLABÖÐÓÃsimulink·ÂÕæ¶þ×ÔÓɶÈÕñ¶¯ÏµÍ³ ÒÑÓÐ4È˲ÎÓë
|
||
|
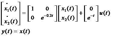
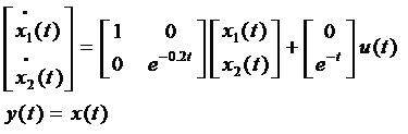
ÔÚMATLABÖÐÓÃsimulink·ÂÕæ¶þ×ÔÓɶÈÕñ¶¯ÏµÍ³£¬Í¼ÈçÏÂËùʾ£¬ÄÇÎÒÓÃsimulink·ÂÕæµÄͼÕýÈ·Âð£¿Èç¹ûÏë¿´Á½¸öʾ²¨Æ÷µÄ·ùÖµËæ×ÅÆäÖÐij¸ö²ÎÊý±ÈÈçm2µÄ±ä»¯¶ø±ä»¯£¬Ó¦¸ÃÈçºÎ²Ù×÷ÄØ£¿ ¶þ×ÔÓɶÈϵͳ simulink·Âտģ¿é |
» ²ÂÄãϲ»¶
¹ã¶«Ê¡ 085601 329·ÖÇóµ÷¼Á
ÒѾÓÐ6È˻ظ´
Çóµ÷¼Á
ÒѾÓÐ18È˻ظ´
µ÷¼Á »¯Ñ§ 307
ÒѾÓÐ17È˻ظ´
297Çóµ÷¼Á
ÒѾÓÐ8È˻ظ´
²ÄÁÏÀà284µ÷¼Á
ÒѾÓÐ45È˻ظ´
368Çóµ÷¼Á
ÒѾÓÐ3È˻ظ´
295·ÖÇóµ÷¼Á
ÒѾÓÐ5È˻ظ´
263ÄÜÔ´¶¯Á¦×¨Ë¶Çóµ÷¼Á
ÒѾÓÐ3È˻ظ´
272·Ö²ÄÁÏ×ÓÇóµ÷¼Á
ÒѾÓÐ28È˻ظ´
Ò»Ö¾Ô¸Î÷±±¹¤Òµ´óѧ289 085602
ÒѾÓÐ30È˻ظ´
» ±¾Ö÷ÌâÏà¹Ø¼ÛÖµÌùÍÆ¼ö£¬¶ÔÄúͬÑùÓаïÖú:
Matlab simulink µÄ·ÂÕæÊ±¼äÏìÓ¦ ¸ú ϵͳʵ¼Ê¹¤×÷µÄʱ¼äÏìÓ¦ ²»Ì«Ïàͬ°É£¿
ÒѾÓÐ3È˻ظ´
ÍõÕýÁÖ¡¶Matlab SimulinkÓë¿ØÖÆÏµÍ³·ÂÕæ¡·µÚ¶þ°æµÚ11Õ¿μþ
ÒѾÓÐ3È˻ظ´
MATLAB/Simulink´óÉñÇë½ø
ÒѾÓÐ4È˻ظ´
matlabÖÐÓÃʲô·½·¨»³öµ¯»É×èÄáÖÊÁ¿ÏµÍ³ÀàËÆÈçÏÂµÄÆµÆ×ͼ
ÒѾÓÐ6È˻ظ´
matlab/simulink
ÒѾÓÐ5È˻ظ´
MATLAB SIMULINK½¨Ä£Óë·ÂÕæÊµÀý¾«½²
ÒѾÓÐ584È˻ظ´
»ùÓÚMATLAB SimulinkµÄϵͳ·ÂÕæ¼¼ÊõÓëÓ¦ÓÃ--Ѧ¶¨Óî--PDF
ÒѾÓÐ149È˻ظ´
Matlab simulink½Ì³Ì¿Î¼þ
ÒѾÓÐ416È˻ظ´
matlabÖÐÊÇ·ñ¿ÉÒÔÓÃsimulinkʵÏÖÒÅ´«Ëã·¨
ÒѾÓÐ6È˻ظ´
¡¶Matlab/SimulinkÓë¿ØÖÆÏµÍ³·ÂÕæ¡·×ÊÔ´·ÖÏí
ÒѾÓÐ75È˻ظ´
³µÁ¾¶¯Á¦Ñ§Ä£Ð͵Ľⷨ
ÒѾÓÐ14È˻ظ´
¡¾·ÖÏí¡¿Wind turbine blockset in matlab/simulink¡¾ÒÑËÑË÷ÎÞÖØ¸´¡¿
ÒѾÓÐ79È˻ظ´
ÇóÖúmatlab-simulinkÔËÐÐʱ±¨´íÎÊÌâ
ÒѾÓÐ3È˻ظ´
MatlabÔÚµØÑ§ÖеÄÓ¦ÓÃ
ÒѾÓÐ24È˻ظ´
ÊÍÒíʮһ
Òø³æ (ÕýʽдÊÖ)
- Ó¦Öú: 9 (Ó×¶ùÔ°)
- ½ð±Ò: 838.8
- Ìû×Ó: 487
- ÔÚÏß: 147.6Сʱ
- ³æºÅ: 2291681
- ×¢²á: 2013-02-21
- ÐÔ±ð: GG
- רҵ: »úе¶¯Á¦Ñ§
¡¾´ð°¸¡¿Ó¦Öú»ØÌû

8Â¥2014-06-25 10:50:32
¡¾´ð°¸¡¿Ó¦Öú»ØÌû
¸Ðл²ÎÓ룬ӦÖúÖ¸Êý +1
|
http://www.mathworks.co.uk/matla ... 4-suspension-system Semi-active Control of Skyhook for 1/4 Suspension System |
2Â¥2014-06-15 01:45:45
3Â¥2014-06-16 15:56:07
ÊÍÒíʮһ
Òø³æ (ÕýʽдÊÖ)
- Ó¦Öú: 9 (Ó×¶ùÔ°)
- ½ð±Ò: 838.8
- Ìû×Ó: 487
- ÔÚÏß: 147.6Сʱ
- ³æºÅ: 2291681
- ×¢²á: 2013-02-21
- ÐÔ±ð: GG
- רҵ: »úе¶¯Á¦Ñ§

4Â¥2014-06-17 11:44:56
5Â¥2014-06-18 15:20:54
jackxaut
гæ (³õÈëÎÄ̳)
- Ó¦Öú: 0 (Ó×¶ùÔ°)
- ½ð±Ò: 11.9
- Ìû×Ó: 9
- ÔÚÏß: 21.5Сʱ
- ³æºÅ: 3269177
- ×¢²á: 2014-06-11
- רҵ: »úе¶¯Á¦Ñ§
6Â¥2014-06-23 20:29:55
7Â¥2014-06-24 09:21:26
9Â¥2014-06-25 15:24:39
gw1300205005
гæ (³õÈëÎÄ̳)
- Ó¦Öú: 0 (Ó×¶ùÔ°)
- ½ð±Ò: 89.9
- É¢½ð: 16
- Ìû×Ó: 7
- ÔÚÏß: 206Сʱ
- ³æºÅ: 3090979
- ×¢²á: 2014-03-26
- רҵ: »úе¶¯Á¦Ñ§
10Â¥2014-08-24 09:31:53













»Ø¸´´ËÂ¥