| 查看: 311 | 回复: 0 | |||
[交流]
懂压缩热模拟试验的进!帮我分析分分析。
|
|
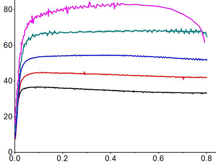
最近做了点热模拟试验,出来的曲线有部分不知道怎么分析了,如图 不懂的是最上面的曲线在后期有个快速下降的过程,跟其他的不一样,其他几组别的参数的数据图跟这个类似 我想知道的是:是实验误差引起的买还是材料本身有这个特性 另外,如果是实验误差引起的,我能不能把最上面的数据处理成平滑的稳态曲线? 在线急等! QQ截图.jpg |
» 猜你喜欢
聚焦细分市场呈现差异化竞争
已经有0人回复
如何四步选出合适的减水剂?
已经有0人回复
冶金与矿业论文润色/翻译怎么收费?
已经有294人回复
2026申博自荐
已经有6人回复
河南金钰新材料有限公司南召县金钰新材料制造项目(一期)竣工环境保护验收公示
已经有0人回复
南召鑫琦方解石有限公司验收竣工环境保护验收公示
已经有5人回复
混凝土外加剂按功能用途分类
已经有0人回复
如何选择葡萄糖酸钠?
已经有0人回复
求求2Cr13的激光冲击有限元模拟J-C本构参数
已经有0人回复
水煤浆专用减水剂的生产厂家举例
已经有0人回复
石膏板专用减水剂的应用场景及生产厂家
已经有0人回复
» 本主题相关商家推荐: (我也要在这里推广)
找到一些相关的精华帖子,希望有用哦~
热压缩试验与热拉伸试验有什么区别?
已经有14人回复
Gleeble热模拟压缩实验
已经有11人回复
Gleeble热压缩实验
已经有5人回复
热压缩塑性加工图的失稳区与实验不一样
已经有4人回复
有人做过变温变应变速率热压缩试验吗?
已经有9人回复
Gleeble热压缩试验应力相差很小怎么解释一直在回复没有再结晶
已经有5人回复
热压缩试验的流变应力模型和本构方程
已经有7人回复
请教关于做热模拟压缩实验时往试样上焊接热电偶的问题
已经有19人回复
急问Gleeble热压缩实验的小问题
已经有7人回复
为什么合金热模拟压缩实验很少考虑变形量的影响!?而只考虑温度和应变速率?
已经有7人回复
科研从小木虫开始,人人为我,我为人人













回复此楼

点击这里搜索更多相关资源