| ²é¿´: 2576 | »Ø¸´: 7 | ||
haflyingÒø³æ (СÓÐÃûÆø)
|
[ÇóÖú]
ÈÈѹËõÊÔÑéµÄÁ÷±äÓ¦Á¦Ä£Ðͺͱ¾¹¹·½³Ì
|
|
Çë½Ì´óÉñ£¬ÓÃGLEEBLE×öµÄÈÈѹËõ±äÐÎÊÔÑé¡£µÃµ½µÄ±¾¹¹·½³ÌºÍÁ÷±äÓ¦Á¦Ä£ÐÍÊÇÒ»»ØÊÂÂ𣿿ɲ»¿ÉÒÔдÔÚһƪÎÄÕµ±ÖÐÄØ£¿ лл´ó¼Ò£¡ |
» ²ÂÄãϲ»¶
»úе¹¤³Ì264ѧ˶Çóµ÷¼Á
ÒѾÓÐ3È˻ظ´
264Çóµ÷¼Á
ÒѾÓÐ9È˻ظ´
Çóµ÷¼Á
ÒѾÓÐ6È˻ظ´
22408 266Çóµ÷¼Á
ÒѾÓÐ7È˻ظ´
Çóµ÷¼Á
ÒѾÓÐ14È˻ظ´
273Çóµ÷¼Á
ÒѾÓÐ43È˻ظ´
307Çóµ÷¼Á
ÒѾÓÐ13È˻ظ´
327Çóµ÷¼Á
ÒѾÓÐ7È˻ظ´
338Çóµ÷¼Á
ÒѾÓÐ6È˻ظ´
326·Ö£¬Ò»Ö¾Ô¸»¦9£¬ÇóÉúÎïѧµ÷¼Á
ÒѾÓÐ3È˻ظ´
» ±¾Ö÷ÌâÏà¹Ø¼ÛÖµÌùÍÆ¼ö£¬¶ÔÄúͬÑùÓаïÖú:
ÇëÎÊÒª×ö½ðÊô±¾¹¹£¬ÐèÒªÄÄЩ»ù´¡ÀíÂÛÄØ£¿£¿£¿+£¿£¿£¿£¿
ÒѾÓÐ12È˻ظ´
Çë½Ìһϱ¾¹¹·½³Ì
ÒѾÓÐ8È˻ظ´
Ó¦ÓÃÓÚÏ𽺳¬µ¯ÐÔÌåµÄÈÈÓ¦Á¦±¾¹¹·½³ÌÎÄÕÂͶÔÚÏð½ºÀàÆÚ¿¯ºÃ»¹ÊÇͶµ¯ÐÔÌåÖ®ÀàµÄÆÚ¿¯ºÃ
ÒѾÓÐ4È˻ظ´
ÓÃʲô¶«Î÷¿ÉÒÔ¼ÓÈÈÊÔÑùµÄ±³Ã棿
ÒѾÓÐ9È˻ظ´
Èܽâ¶ÈÓÃÒÑÓеÄÄ£ÐÍ·½³ÌÄ£Äâ
ÒѾÓÐ6È˻ظ´
þºÏ½ð×öÈÈѹËõʵÑéµÄÎÊÌâ
ÒѾÓÐ8È˻ظ´
ʲôÊÇÁ÷±äÓ¦Á¦
ÒѾÓÐ6È˻ظ´
¸Ä±äÊÀ½çµÄÎå¸ö·½³Ì(Five Equations That Changed the World)¡¾×ªÔØ¡¿
ÒѾÓÐ87È˻ظ´
Á÷±äÓ¦Á¦Óë±äÐο¹Á¦Ö®¼äÓÐʲô²»Í¬£¿£¿
ÒѾÓÐ9È˻ظ´
ÇóÖú£º£º£ºJohnson-Cook±¾¹¹·½³ÌÄâºÏ
ÒѾÓÐ8È˻ظ´
͸Ã÷ÖÊËáøÌåÍâÒÖÖÆÊÔÑé
ÒѾÓÐ8È˻ظ´
ÈÈѹËõËÜÐÔ¼Ó¹¤Í¼µÄʧÎÈÇøÓëʵÑé²»Ò»Ñù
ÒѾÓÐ4È˻ظ´
ÓÐÈË×ö¹ý±äαäÓ¦±äËÙÂÊÈÈѹËõÊÔÑéÂð£¿
ÒѾÓÐ9È˻ظ´
ÇëÎÊÔõôÇóÕâÑùµÄ¶þ´Î·½³ÌÖеÄδ֪Êý°¡£¿°ÝÍÐÁË
ÒѾÓÐ9È˻ظ´
¶ÏÁÑÓ¦Á¦ºÍÇü·þÓ¦Á¦Ë¶ÔÓ¦±äËÙÂʸüÃô¸Ð£¿
ÒѾÓÐ14È˻ظ´
Ô²ÖùÌåÄÚÓ¦Á¦·Ö²¼
ÒѾÓÐ8È˻ظ´
ÊÔѹ£¬±¬ÆÆÆ¬±¬ÆÆ
ÒѾÓÐ19È˻ظ´
¡¾ÌÖÂÛ¡¿ÎªÊ²Ã´Òª×öÈÈѹËõ£¿
ÒѾÓÐ11È˻ظ´
kingshion
ͳæ (СÓÐÃûÆø)
- Ó¦Öú: 2 (Ó×¶ùÔ°)
- ½ð±Ò: 63.4
- Ìû×Ó: 57
- ÔÚÏß: 12.7Сʱ
- ³æºÅ: 1244832
- ×¢²á: 2011-03-25
- רҵ: ½ðÊô²ÄÁϵÄÁ¦Ñ§ÐÐΪ
2Â¥2012-05-21 14:04:18
jingshui0910
½ð³æ (СÓÐÃûÆø)
- Ó¦Öú: 2 (Ó×¶ùÔ°)
- ½ð±Ò: 2386.5
- Ìû×Ó: 62
- ÔÚÏß: 59.3Сʱ
- ³æºÅ: 483228
- ×¢²á: 2007-12-26
- רҵ: ½ðÊô½á¹¹²ÄÁÏ
3Â¥2012-05-21 15:32:37
haflying
Òø³æ (СÓÐÃûÆø)
- MM-EPI: 1
- Ó¦Öú: 6 (Ó×¶ùÔ°)
- ½ð±Ò: 440.5
- ºì»¨: 4
- Ìû×Ó: 244
- ÔÚÏß: 55.8Сʱ
- ³æºÅ: 1801915
- ×¢²á: 2012-05-07
- רҵ: ½ðÊô²ÄÁϵÄÁ¦Ñ§ÐÐΪ
4Â¥2012-05-21 15:51:54
kingshion
ͳæ (СÓÐÃûÆø)
- Ó¦Öú: 2 (Ó×¶ùÔ°)
- ½ð±Ò: 63.4
- Ìû×Ó: 57
- ÔÚÏß: 12.7Сʱ
- ³æºÅ: 1244832
- ×¢²á: 2011-03-25
- רҵ: ½ðÊô²ÄÁϵÄÁ¦Ñ§ÐÐΪ
¡¾´ð°¸¡¿Ó¦Öú»ØÌû
¡ï ¡ï ¡ï ¡ï ¡ï
haflying: ½ð±Ò+5, ¡ï¡ï¡ïºÜÓаïÖú, лл£¡ 2012-05-21 19:03:53
haflying: ½ð±Ò+5, ¡ï¡ï¡ïºÜÓаïÖú, лл£¡ 2012-05-21 19:03:53
|
д´óÂÛÎĵϰ£¬´óÖ½ṹ£º 1.ÕÂÐ÷ÂÛ£¬½éÉÜÏÖ×´ 2.Õ½¨ÒéÊÔÑ飬¸ù¾ÝʵÑéÊý¾Ý£¬´¦ÀíÊý¾Ý£¬·ÖÎö²ÄÁϼӹ¤ÐÔ¡£¿ÉÒÔ×ö³ö±¾¹¹¹ØÏµ£¬ÁÙ½çÓ¦±ä£¬½áºÏÊÔÑéÒ²¿ÉÒÔ×ö³öÁÙ½çËðÉË£¬×ö¼Ó¹¤Í¼£¬Ò²¿ÉÒÔ×ö²ÄÁϼӹ¤ºóµÄ×éÖ¯¡£ÕâÒ»Õ¿ÉÒÔдÏ൱²»´íµÄÄÚÈÝ£¬Ò²¿ÉÒÔ·¢Ð¡ÂÛÎÄ¡£ 3Õ¶ÍÔ칤ÒÕÉè¼Æ¡£¶Í¼þ½á¹¹·ÖÎöÓëÄ£¾ßÉè¼Æ£¬¶ÍÔ칤Ðò¡¢É豸µÈ¡£ 4ÕÂÊýֵģÄ⣬Ҳ¿ÉÒÔ¸ãÒ»ÏÂÓÅ»¯¡£ 5½áÂÛ¡£ ²»ÖªµÀÕâ¸ö½á¹¹ÊʺÏÄã°É |
5Â¥2012-05-21 17:56:44
haflying
Òø³æ (СÓÐÃûÆø)
- MM-EPI: 1
- Ó¦Öú: 6 (Ó×¶ùÔ°)
- ½ð±Ò: 440.5
- ºì»¨: 4
- Ìû×Ó: 244
- ÔÚÏß: 55.8Сʱ
- ³æºÅ: 1801915
- ×¢²á: 2012-05-07
- רҵ: ½ðÊô²ÄÁϵÄÁ¦Ñ§ÐÐΪ
6Â¥2012-05-21 20:47:59
kingshion
ͳæ (СÓÐÃûÆø)
- Ó¦Öú: 2 (Ó×¶ùÔ°)
- ½ð±Ò: 63.4
- Ìû×Ó: 57
- ÔÚÏß: 12.7Сʱ
- ³æºÅ: 1244832
- ×¢²á: 2011-03-25
- רҵ: ½ðÊô²ÄÁϵÄÁ¦Ñ§ÐÐΪ
¡¾´ð°¸¡¿Ó¦Öú»ØÌû
¡ï ¡ï ¡ï ¡ï ¡ï ¡ï ¡ï ¡ï ¡ï ¡ï ¡ï
zhyq8767: ½ð±Ò+1, ¸Ðл½»Á÷ 2012-05-22 12:15:01
haflying: ½ð±Ò+10, ¡ï¡ï¡ï¡ï¡ï×î¼Ñ´ð°¸, thanks 2012-05-22 14:36:33
zhyq8767: ½ð±Ò+1, ¸Ðл½»Á÷ 2012-05-22 12:15:01
haflying: ½ð±Ò+10, ¡ï¡ï¡ï¡ï¡ï×î¼Ñ´ð°¸, thanks 2012-05-22 14:36:33
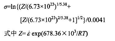
| ǰÁ½¸öÊDZ¾¹¹·½³Ì£¨Ó¦Á¦Ó¦±ä¹ØÏµ£©£¬ºóÁ½¸öÊÇÄ£ÄâʱºòÓõ쬹ãÒåÉÏÒ²ÊDZ¾¹¹·½³Ì¡£ |
7Â¥2012-05-22 11:43:59
foreverlove9
¾èÖú¹ó±ö (³õÈëÎÄ̳)
- Ó¦Öú: 0 (Ó×¶ùÔ°)
- ½ð±Ò: 99
- Ìû×Ó: 9
- ÔÚÏß: 9Сʱ
- ³æºÅ: 1501490
- ×¢²á: 2011-11-20
- רҵ: ½ðÊô½á¹¹²ÄÁÏ
8Â¥2014-08-26 11:11:16














»Ø¸´´ËÂ¥