| 查看: 567 | 回复: 4 | ||
twx404铜虫 (初入文坛)
|
[求助]
求解答求介电常数
|
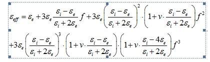
| 21. 一种电容器纸,纤维素的比例为70%,纤维素的介电常数为7,设空气的介电常数为1,求其总介电常数;将电容器纸进行液体浸渍后,设液体介电常数位80,求浸渍后材料的总介电常数。式中,εf、ε1分别为纤维素和液体浸渍料的介电常数;x为纤维素密度系数。 |
» 猜你喜欢
265求调剂
已经有8人回复
0817 化学工程 299分求调剂 有科研经历 有二区文章
已经有21人回复
295材料求调剂,一志愿武汉理工085601专硕
已经有4人回复
0856调剂,是学校就去
已经有9人回复
298-一志愿中国农业大学-求调剂
已经有9人回复
求调剂
已经有4人回复
学校已经提交到NSFC,还能修改吗?
已经有7人回复
材料学硕297已过四六级求调剂推荐
已经有6人回复
295复试调剂
已经有7人回复
本人考085602 化学工程 专硕
已经有20人回复
» 本主题相关商家推荐: (我也要在这里推广)
» 本主题相关价值贴推荐,对您同样有帮助:
求解答考二级结构工程师的迷惑
已经有5人回复
数学的大神们,求解一个数学问题,大神们帮帮忙,小女子感激万分
已经有2人回复
求解。。。。请大家帮忙解答,谢谢
已经有5人回复
四氧化三铁的相对介电常数是多少?
已经有1人回复
介电常数和相对介电常数、视在介电常数的区别
已经有3人回复
一种材料的介电常数上下标是什么意思,求解答
已经有6人回复
求解求解求解求解求解
已经有4人回复
混合溶剂介电常数 急求高手解答
已经有4人回复
求高手解答Matlab求解微分方程的初始值和边界值问题
已经有5人回复
两道生化试题求解答。求答案
已经有3人回复
同位素稀释质谱法原理求解!
已经有9人回复
小学奥数题~求解
已经有40人回复
求指点介电常数单位
已经有4人回复
求解一道管理学题目,主要是节点参数怎么求~!!!谢谢各位~
已经有9人回复
【求助】介电常数是负值如何解释?
已经有22人回复
求解一道数学题
已经有4人回复
求解一道智力游戏题
已经有17人回复
求解一道逻辑思维题目
已经有13人回复
xkcn
木虫 (正式写手)
- 应助: 14 (小学生)
- 金币: 3036.6
- 红花: 2
- 帖子: 339
- 在线: 248.5小时
- 虫号: 877431
- 注册: 2009-10-19
- 性别: GG
- 专业: 无机非金属类电介质与电解

2楼2014-06-05 18:15:10
twx404
铜虫 (初入文坛)
- 应助: 0 (幼儿园)
- 金币: 1115.8
- 散金: 5
- 帖子: 36
- 在线: 5.1小时
- 虫号: 3115059
- 注册: 2014-04-05
- 性别: GG
- 专业: 建筑学
3楼2014-06-05 20:56:59
xkcn
木虫 (正式写手)
- 应助: 14 (小学生)
- 金币: 3036.6
- 红花: 2
- 帖子: 339
- 在线: 248.5小时
- 虫号: 877431
- 注册: 2009-10-19
- 性别: GG
- 专业: 无机非金属类电介质与电解

4楼2014-06-06 16:04:34
twx404
铜虫 (初入文坛)
- 应助: 0 (幼儿园)
- 金币: 1115.8
- 散金: 5
- 帖子: 36
- 在线: 5.1小时
- 虫号: 3115059
- 注册: 2014-04-05
- 性别: GG
- 专业: 建筑学
5楼2014-06-07 16:55:27













回复此楼
10