版块导航
正在加载中...
客户端APP下载
论文辅导
申博辅导
登录
注册
帖子
帖子
用户
本版
应《网络安全法》要求,自2017年10月1日起,未进行实名认证将不得使用互联网跟帖服务。为保障您的帐号能够正常使用,请尽快对帐号进行手机号验证,感谢您的理解与支持!
24小时热门版块排行榜
>
论坛更新日志
(630)
>
虫友互识
(46)
>
导师招生
(18)
>
论文道贺祈福
(14)
>
休闲灌水
(9)
>
硕博家园
(6)
>
博后之家
(5)
>
基金申请
(5)
>
考博
(5)
>
招聘信息布告栏
(4)
>
考研
(4)
>
论文投稿
(4)
>
教师之家
(3)
>
文献求助
(2)
>
生物科学
(2)
>
公派出国
(2)
小木虫论坛-学术科研互动平台
»
化学化工区
»
高分子
»
高分子物理
»
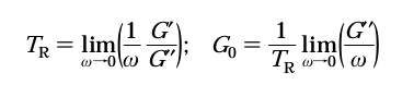
求大神,求教一些高分子流变学模型中的极限怎么求?怎么把极限在图中求出
1
1/1
返回列表
查看: 234 | 回复: 0
只看楼主
@他人
存档
新回复提醒
(忽略)
收藏
在APP中查看
韬光北辰
铁虫
(初入文坛)
应助: 0
(幼儿园)
金币: 71.5
帖子: 1
在线: 19.6小时
虫号: 2487672
注册: 2013-05-29
性别: GG
专业: 应用高分子化学与物理
[
求助
]
求大神,求教一些高分子流变学模型中的极限怎么求?怎么把极限在图中求出
G’和G’’对w的曲线都有,怎么求两个方程
NTQ[C[0WV~YQLS}%B~S`UCL.jpg
0`G`2}1EH225O4AT$2]C]IJ.jpg
回复此楼
» 猜你喜欢
有时候真觉得大城市人没有县城人甚至个体户幸福
已经有9人回复
CSC & MSCA 博洛尼亚大学能源材料课题组博士/博士后招生|MSCA经费充足、排名优
已经有6人回复
天津大学招2026.09的博士生,欢迎大家推荐交流(博导是本人)
已经有4人回复
同年申请2项不同项目,第1个项目里不写第2个项目的信息,可以吗
已经有3人回复
退学或坚持读
已经有28人回复
面上项目申报
已经有3人回复
酰胺脱乙酰基
已经有9人回复
博士延得我,科研能力直往上蹿
已经有7人回复
面上基金申报没有其他的参与者成吗
已经有5人回复
遇见不省心的家人很难过
已经有22人回复
» 本主题相关商家推荐:
(我也要在这里推广)
1楼
2014-05-28 21:53:13
已阅
回复此楼
关注TA
给TA发消息
送TA红花
TA的回帖
智能机器人
Robot
(super robot)
我们都爱小木虫
找到一些相关的精华帖子,希望有用哦~
求助,,急求,,,大神 ,人命关天
已经有17人回复
急求有RSC投稿经验的大神指点!现投nanoscale,用的RSC模板,摘要图应该放在哪?
已经有7人回复
产物分离,新手求教各位大神
已经有13人回复
求教大神:怎么计算质谱重复多次测量得到的数据误差??
已经有6人回复
哪位大神能看懂日本公司的年报啊?????急求
已经有14人回复
亚精胺--做有机的核磁大神们--求救啊--为什么核磁做出来会是这样的结果---求解答啊!
已经有9人回复
求教各位大神,教育部申请中的研究内容和研究思路、方法两部分感觉有点重复,怎么办?
已经有12人回复
外行跪求SPSS作图 请问各位大神如何做那种里面很多点 外面一个椭圆的聚类的图
已经有5人回复
求教各位大神如何把仲胺化合物里面的酰胺化合物除去
已经有5人回复
求教路过的大神
已经有4人回复
CV作图求助,大神们,急急急求
已经有14人回复
PCR引物设计问题,求教大神~
已经有11人回复
求教大神, 有被数学欺骗的时候吗 ?
已经有9人回复
请问各位大神,用TMSN3引入叠氮基团需要怎么做,求具体实验步骤,所取代的基团为MsO-
已经有13人回复
求教大神 316L不锈钢热处理后图片怎么这个样啊 给分析个啊
已经有10人回复
请教各位大神GPC图谱怎么分析?有图
已经有9人回复
请问,如何在BET实验数据中寻找孔体积,平均孔径和计算孔隙率?希望哪位大神解答。
已经有16人回复
细粉堵塞加料口,求教大神
已经有5人回复
求教一个origin中的问题,求大神指点
已经有4人回复
各位大神求教,有关沸石分子筛的粒径的问题。
已经有8人回复
点击这里搜索更多相关资源
科研从小木虫开始,人人为我,我为人人
相关版块跳转
有机交流
有机资源
高分子
无机/物化
分析
催化
工艺技术
化工设备
石油化工
精细化工
电化学
环境
SciFinder/Reaxys
我要订阅楼主
韬光北辰
的主题更新
1
1/1
返回列表
如果回帖内容含有宣传信息,请如实选中。否则帐号将被全论坛禁言
普通表情
龙
兔
虎
猫
百度网盘
|
360云盘
|
千易网盘
|
华为网盘
在新窗口页面中打开自己喜欢的网盘网站,将文件上传后,然后将下载链接复制到帖子内容中就可以了。
信息提示
关闭
请填处理意见
关闭
确定