| 查看: 470 | 回复: 1 | |
[求助]
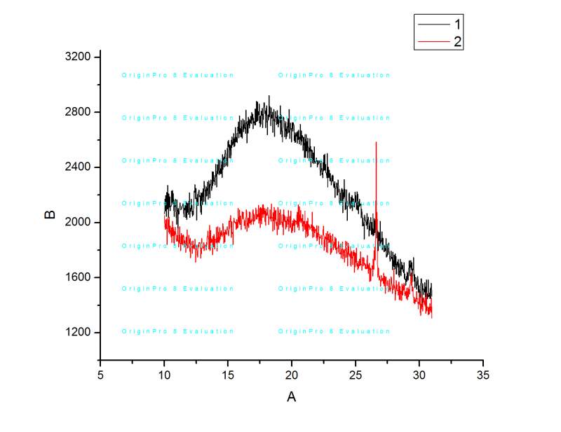
哪位能帮我分析一下这个XRD图谱,毕设急用,非常谢谢!
|
|
|
|
|
|
2楼2014-05-28 10:53:38
|
|














回复此楼