| ²é¿´: 801 | »Ø¸´: 1 | ||
luckygyyÒø³æ (СÓÐÃûÆø)
|
[ÇóÖú]
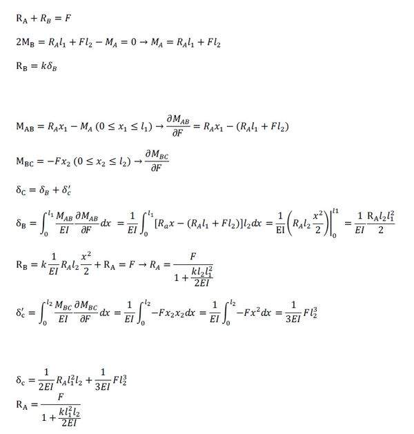
²ÄÁÏÁ¦Ñ§µÄÒ»¸ö¹«Ê½ÍƵ¼ÎÊÌ⣬ÇóÑéÖ¤ÍÆµ¼¹ý³ÌÊÇÊÇ·ñÕýÈ· ÒÑÓÐ1È˲ÎÓë
|
|
ÏÂͼÖÐCµãµÄ×î´óÄÓ¶È£¬ÎÒÍÆµ¼µÄ¹«Ê½Îª¦Äc£¬µ«ÊDz»È·¶¨ÊÇ·ñÓдíÎó ÏÂÃæµÄÊÇÍÆµ¼¹ý³Ì£¬Çë°ïæ¿´¿´ÊÇ·ñÓдíÎó. лл~ |
» ²ÂÄãϲ»¶
ÕÐÊÕ0805£¨²ÄÁÏ£©µ÷¼Á
ÒѾÓÐ0È˻ظ´
ÕÐÊÕ0805£¨²ÄÁÏ£©µ÷¼Á
ÒѾÓÐ3È˻ظ´
½ðÊô²ÄÁÏÂÛÎÄÈóÉ«/·ÒëÔõôÊÕ·Ñ?
ÒѾÓÐ59È˻ظ´
EBSD¼«Í¼ºÍ·´¼«Í¼Ôõô¿´
ÒѾÓÐ0È˻ظ´
ÃæÉϲÎÓëÈËÔ±ÖØÒªÂð£¿ÕÒ²»µ½²ÎÓëÈË
ÒѾÓÐ7È˻ظ´
AIÓÐÏÞÈںϸ´ºÏ²ÄÁ϶à³ß¶È½¨Ä£
ÒѾÓÐ0È˻ظ´
ÇóÊÕÁô
ÒѾÓÐ8È˻ظ´
Ñàɽ´óѧÄÉÃ×ÄÜÔ´ÖÐÐĻƽ¨Óî¿ÎÌâ×éÕÐÉú
ÒѾÓÐ0È˻ظ´
ÇൺÊÐÖ±ÊÂÒµ±à£¬95˶£¬180 65£¬ÀϼҺÓÄÏ£¬°®ºÃ¼ªËü³ª¸è
ÒѾÓÐ0È˻ظ´
ÇóÖúµ÷¼ÁÍÆ¼ö
ÒѾÓÐ0È˻ظ´
355 ɽ¿ÆµçÆø×¨Ë¶ µ÷¼ÁÍÆ¼ö
ÒѾÓÐ1È˻ظ´
» ±¾Ö÷ÌâÏà¹ØÉ̼ÒÍÆ¼ö: (ÎÒÒ²ÒªÔÚÕâÀïÍÆ¹ã)
» ±¾Ö÷ÌâÏà¹Ø¼ÛÖµÌùÍÆ¼ö£¬¶ÔÄúͬÑùÓаïÖú:
¿´¿´Õâ¸öÁ¿×ÓÁ¦Ñ§×î»ù±¾µÄ¹«Ê½ÍƵ¼¡¡
ÒѾÓÐ12È˻ظ´
ÈÈÁ¦Ñ§Debye-Huckel¹«Ê½µÄÓйØÎÊÌâ
ÒѾÓÐ7È˻ظ´
þºÏ½ðÁ¦Ñ§ÐÔÄÜ·ûºÏHall-petch¹«Ê½£¬ÈçºÎ»Í¼Ö¤Ã÷£¿ÐèÒª¼¸×éÊý¾Ý£¿
ÒѾÓÐ5È˻ظ´
ÎïÀí¹«Ê½µÄµ¥Î»»»ËãÍÆµ¼ÑéÖ¤
ÒѾÓÐ14È˻ظ´
Çë½ÌÒ»¸öÁ÷ÌåÁ¦Ñ§·½ÃæµÄ¹«Ê½
ÒѾÓÐ7È˻ظ´
peterflyer
ľ³æÖ®Íõ (ÎÄѧ̩¶·)
peterflyer
- »úеEPI: 4
- Ó¦Öú: 20282 (Ժʿ)
- ½ð±Ò: 146218
- ºì»¨: 1374
- Ìû×Ó: 93091
- ÔÚÏß: 7694.3Сʱ
- ³æºÅ: 1482829
- ×¢²á: 2011-11-08
- ÐÔ±ð: GG
- רҵ: ¹¦ÄÜÌÕ´É
¡¾´ð°¸¡¿Ó¦Öú»ØÌû
¡ï ¡ï ¡ï ¡ï ¡ï ¡ï ¡ï ¡ï ¡ï ¡ï
¸Ðл²ÎÓ룬ӦÖúÖ¸Êý +1
luckygyy: ½ð±Ò+10, ¡ïÓаïÖú 2014-09-11 09:37:49
¸Ðл²ÎÓ룬ӦÖúÖ¸Êý +1
luckygyy: ½ð±Ò+10, ¡ïÓаïÖú 2014-09-11 09:37:49
| µÚ¶þ¸öʽ×Ó£¬¼´2*MB=RA*l1+F*l2-MA=0Õâ¸öʽ×ÓËÆºõÓÐÎÊÌ⣬MBÓ¦¸ÃΪ-F*l2,¶ø²»Ó¦ÎªÁãµÄ¡£ |
2Â¥2014-05-20 22:31:54














»Ø¸´´ËÂ¥