| ²é¿´: 340 | »Ø¸´: 2 | ||
rock7874234гæ (³õÈëÎÄ̳)
|
[½»Á÷]
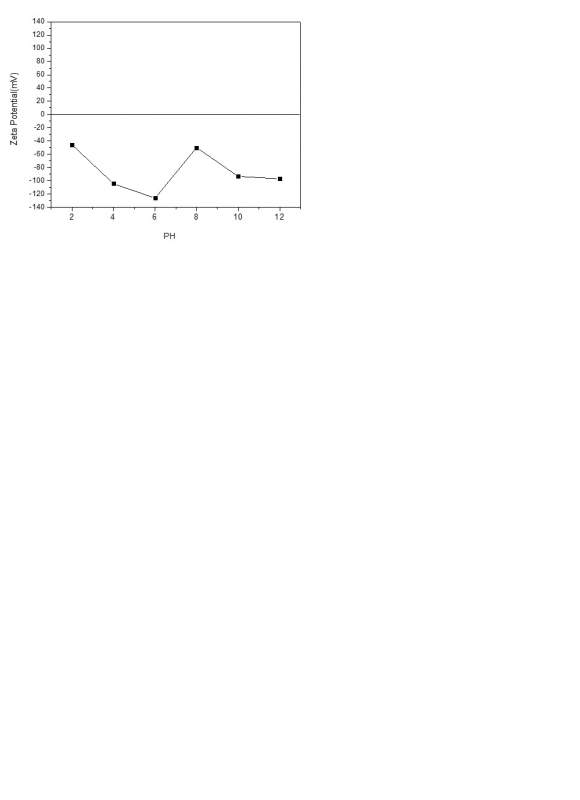
µVÎï œyZeta potential ½Y¹û¾ùžéֵؓ µ«Çú¾€ºÃÆæ¹Ö~ÕˆÇó¸ßÊÖŽÍæ ÒÑÓÐ1È˲ÎÓë
|
» ±¾Ö÷ÌâÏà¹Ø¼ÛÖµÌùÍÆ¼ö£¬¶ÔÄúͬÑùÓаïÖú:
PEG zeta µçλ
ÒѾÓÐ16È˻ظ´
yemiao008
ÖÁ×ðľ³æ (Ö°Òµ×÷¼Ò)
- Ó¦Öú: 10 (Ó×¶ùÔ°)
- ½ð±Ò: 5352.2
- É¢½ð: 12780
- ºì»¨: 13
- Ìû×Ó: 4902
- ÔÚÏß: 1178.7Сʱ
- ³æºÅ: 648004
- ×¢²á: 2008-11-07
- רҵ: »·¾³¹¤³Ì
2Â¥2014-05-19 15:02:57
rock7874234
гæ (³õÈëÎÄ̳)
- Ó¦Öú: 0 (Ó×¶ùÔ°)
- ½ð±Ò: 0.5
- Ìû×Ó: 2
- ÔÚÏß: 1.9Сʱ
- ³æºÅ: 3157154
- ×¢²á: 2014-04-23
3Â¥2014-05-19 16:07:25














»Ø¸´´ËÂ¥