版块导航
正在加载中...
客户端APP下载
论文辅导
申博辅导
登录
注册
帖子
帖子
用户
本版
应《网络安全法》要求,自2017年10月1日起,未进行实名认证将不得使用互联网跟帖服务。为保障您的帐号能够正常使用,请尽快对帐号进行手机号验证,感谢您的理解与支持!
24小时热门版块排行榜
>
论坛更新日志
(2826)
>
虫友互识
(265)
>
文献求助
(196)
>
导师招生
(170)
>
考博
(113)
>
论文投稿
(79)
>
休闲灌水
(79)
>
论文道贺祈福
(46)
>
博后之家
(39)
>
硕博家园
(37)
>
基金申请
(34)
>
教师之家
(30)
>
公派出国
(23)
>
招聘信息布告栏
(22)
>
考研
(22)
>
绿色求助(高悬赏)
(21)
小木虫论坛-学术科研互动平台
»
化学化工区
»
高分子
»
测试表征
»
流变图分析求助。。。
2
1/1
返回列表
查看: 2143 | 回复: 1
只看楼主
@他人
存档
新回复提醒
(忽略)
收藏
在APP中查看
293578328
银虫
(正式写手)
应助: 2
(幼儿园)
金币: 260.7
散金: 12
帖子: 341
在线: 62.6小时
虫号: 1176960
注册: 2010-12-25
性别: GG
专业: 有机合成
[
求助
]
流变图分析求助。。。
已有1人参与
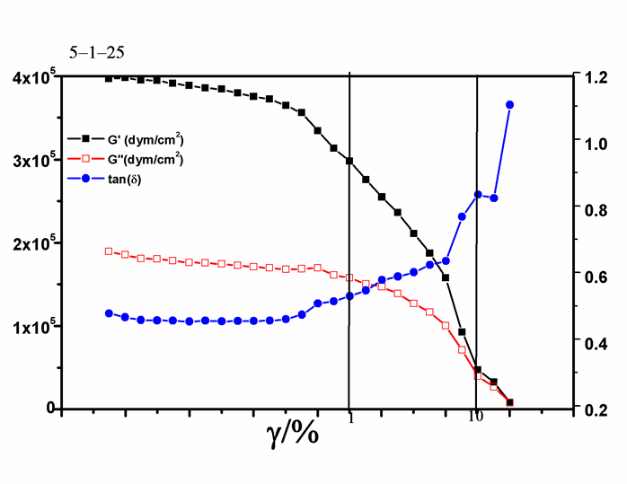
请求大神帮忙分析流变图,这个是用ARES流变仪测的。
图片1.png
回复此楼
» 猜你喜欢
存款400万可以在学校里躺平吗
已经有26人回复
拟解决的关键科学问题还要不要写
已经有8人回复
最失望的一年
已经有7人回复
推荐一本书
已经有16人回复
国自然申请面上模板最新2026版出了吗?
已经有20人回复
26申博
已经有3人回复
请教限项目规定
已经有3人回复
基金委咋了?2026年的指南还没有出来?
已经有10人回复
基金申报
已经有6人回复
疑惑?
已经有5人回复
» 本主题相关价值贴推荐,对您同样有帮助:
求哪位好心人帮我分析一下这个差热吧,谢谢啦
已经有4人回复
好心人帮忙核磁波谱解析一下
已经有6人回复
帮忙看下BET结果,咋分析啊,谢谢
已经有13人回复
本人测试一个流变样品的频率扫描,但是图很奇怪,不会分析,求助一下
已经有9人回复
求助DSC曲线分析
已经有5人回复
求帮忙分析下EIS
已经有6人回复
各种求助 各种感激涕流 希望大家来帮忙。。
已经有4人回复
帮忙看下这个孔隙率图怎么分析呀?
已经有3人回复
求达人分析一张硅/石墨烯复合材料红外光谱图,不胜感激
已经有7人回复
rt-pcr电泳图,求好心虫友帮助分析一下,跪谢。。。
已经有14人回复
2013年的高分子年会在哪里召开呀?有知道童鞋请告诉一下,谢谢了
已经有6人回复
这是回火马氏体吗?急,下午预答辩,求助达人帮忙
已经有14人回复
分子进化分析与相关分析软件的应用
已经有67人回复
求助环保达人,固体废弃物重金属浸出到底用什么方法?
已经有8人回复
求助TG曲线的分析
已经有6人回复
帮忙分析一下这个tafel曲线,急~~~谢谢!
已经有10人回复
帮忙分析一下PDMAEMA的TGA图
已经有3人回复
【求助】求流变达人帮忙分析一下流变图 谢谢
已经有12人回复
请帮忙分析一下,谢谢
已经有13人回复
【求助】铝合金高温流变性能【图】
已经有26人回复
【求助】DMA动态力学分析
已经有9人回复
1楼
2014-05-17 09:18:20
已阅
回复此楼
关注TA
给TA发消息
送TA红花
TA的回帖
lacoedo
新虫
(初入文坛)
应助: 1
(幼儿园)
金币: 23
帖子: 9
在线: 2小时
虫号: 2658708
注册: 2013-09-16
【答案】应助回帖
你这横纵坐标一会是对数一会又正常,看不清楚,实验参数也没有,
如果你做的是strain sweep,这个图就大概确定了一下线性黏弹性的形变区间,你看模量在大概0.7%之前几乎没有显著变化,可以看作是线性区间。进一步做频率扫描时,可以将形变设置在这个范围内。
赞
一下
回复此楼
2楼
2014-11-29 15:01:52
已阅
回复此楼
关注TA
给TA发消息
送TA红花
TA的回帖
相关版块跳转
有机交流
有机资源
高分子
无机/物化
分析
催化
工艺技术
化工设备
石油化工
精细化工
电化学
环境
SciFinder/Reaxys
我要订阅楼主
293578328
的主题更新
2
1/1
返回列表
如果回帖内容含有宣传信息,请如实选中。否则帐号将被全论坛禁言
普通表情
龙
兔
虎
猫
百度网盘
|
360云盘
|
千易网盘
|
华为网盘
在新窗口页面中打开自己喜欢的网盘网站,将文件上传后,然后将下载链接复制到帖子内容中就可以了。
信息提示
关闭
请填处理意见
关闭
确定