| ²é¿´: 572 | »Ø¸´: 3 | ||
qipiqipiÌú³æ (³õÈëÎÄ̳)
|
[ÇóÖú]
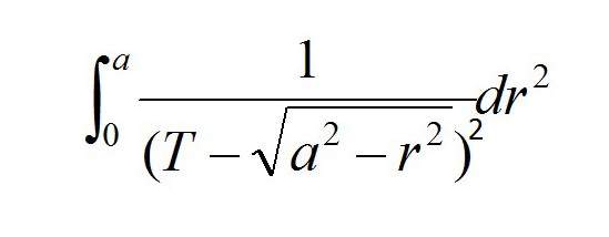
ÊýѧäÇó»ý·Ö ÒÑÓÐ1È˲ÎÓë
|
|
|
|
||
mathstudy½ð³æ (ÕýʽдÊÖ)
|
||
|
2Â¥2014-05-07 11:42:19
|
|
|
qipiqipiÌú³æ (³õÈëÎÄ̳)
|
||
|
3Â¥2014-05-07 11:48:01
|
|
|
peterflyer
|
¡¾´ð°¸¡¿Ó¦Öú»ØÌû
¡ï ¡ï ¡ï ¡ï ¡ï ¡ï ¡ï ¡ï ¡ï ¡ï
¸Ðл²ÎÓ룬ӦÖúÖ¸Êý +1 qipiqipi: ½ð±Ò+10, ¡ï¡ï¡ïºÜÓаïÖú, goodлл 2014-05-08 21:01:00
|
|
|
4Â¥2014-05-07 21:19:03
|
|













»Ø¸´´ËÂ¥
