| ²é¿´: 530 | »Ø¸´: 2 | ||||
luoshusenľ³æ (ÕýʽдÊÖ)
|
[ÇóÖú]
Çë¸÷λmatlab´óÉñÃǰïÖú»¸öͼ
|
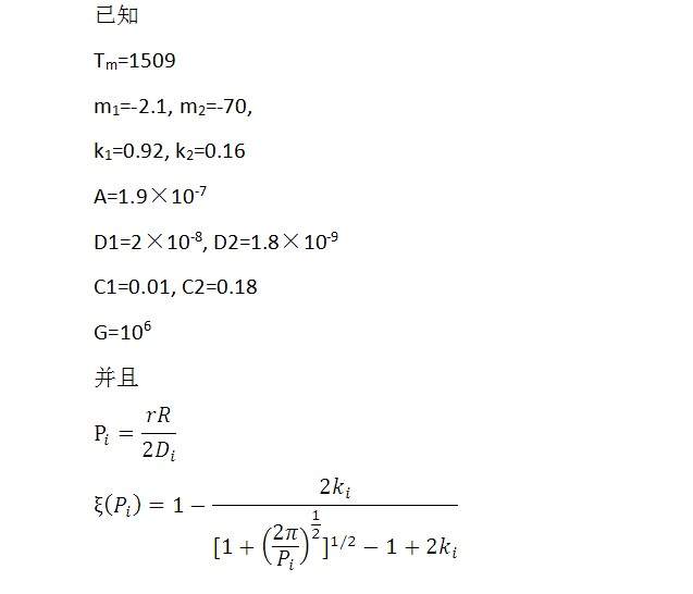
лл¸÷λÁË£¬ÎÒµÄÓÊÏäÊÇssluo12s@imr.ac.cn,Çë´óÉñÃǰï°ïСµÜ°¡£¬ÎÒÏÖÔÚ²»Ì«»áÓÃmatlab£¬¼±ÐèʹÓÃͼÏñÄÅ£¡![]() ![]() ![]() »Í¼µÄÒªÇóÔÚ¸½¼þÖÐÄØ£¬Ð»Ð»Á˰¡£¡ 2.jpg 1.jpg |
» ²ÂÄãϲ»¶
297£¬¹¤¿Æµ÷¼Á?
ÒѾÓÐ4È˻ظ´
¿ÒÇëÓÐѧУÊÕÁô
ÒѾÓÐ7È˻ظ´
291Çóµ÷¼Á
ÒѾÓÐ9È˻ظ´
300Çóµ÷¼Á
ÒѾÓÐ11È˻ظ´
22ר˶Çóµ÷¼Á
ÒѾÓÐ12È˻ظ´
²ÄÁÏÏà¹Ø×¨Òµ344Çóµ÷¼ÁË«·Ç¹¤¿ÆÑ§Ð£»ò¿ÎÌâ×é
ÒѾÓÐ25È˻ظ´
¼±Ðèµ÷¼Á
ÒѾÓÐ7È˻ظ´
Çóµ÷¼Á
ÒѾÓÐ10È˻ظ´
Ò»Ö¾Ô¸»ªÖÐũҵ071010£¬320Çóµ÷¼Á
ÒѾÓÐ16È˻ظ´
304Çóµ÷¼Á
ÒѾÓÐ5È˻ظ´
» ±¾Ö÷ÌâÏà¹Ø¼ÛÖµÌùÍÆ¼ö£¬¶ÔÄúͬÑùÓаïÖú:
´óÉñ ÇëÎÊÈçͼµÄ2¸öͼÔõô»°¡ ÏÂÃæµÄ2¸öͼ лл
ÒѾÓÐ3È˻ظ´
matlabe»Í¼µÄСÎÊÌ⣬Çó´óÉñÃÇÖ¸µãÒ»ÏÂ
ÒѾÓÐ5È˻ظ´
ÄÄλ´óÉñ¿ÉÒԽ̽ÌÔõôÓÃmatlab¼ÆËã¿×϶ÂÊ
ÒѾÓÐ8È˻ظ´
ÄÄλ´óÉñ°ïæ¿´Ò»ÏÂMATLABÇó½â΢·Ö·½³ÌµÄÎÊÌ⣿
ÒѾÓÐ3È˻ظ´
matlabÖÐÖ´ÐÐforÑ»·»ÈýάͼµÄÎÊÌâ
ÒѾÓÐ3È˻ظ´
ÇëÎÊÓÃmatlabÔõÑù»ÏÂÃæÕâ·ùͼ?
ÒѾÓÐ10È˻ظ´
Çó´óÉñÓÃmatlab¸øÎÒ´¦ÀíÒ»×éÊý¾Ý£¬ÓÐÈËûÓа¡£¿
ÒѾÓÐ15È˻ظ´
matlabÀïÔõô»Á½¸ö×Ô±äÁ¿µÄ¶þάͼ
ÒѾÓÐ3È˻ظ´
ÓÃMatlabÉú³ÉÒ»ÕÅÀàËÆÄ§·½µÄͼƬ£¬Íû¸÷·´óÉñÖ¸½Ì£¡£¡£¡£¡£¡£¡£¡£¡
ÒѾÓÐ3È˻ظ´
matlabµÄplot»Í¼£¨ÈçºÎ»³öÓëȡֵÊýÄ¿²»Ò»ÑùµÄ±ê¼Ç·û£©
ÒѾÓÐ4È˻ظ´
matlab»Í¼ÖеÄÒ»¸öͼ±êÎÊÌâ
ÒѾÓÐ15È˻ظ´
matlab½â¾öÖØÐÄ·¨Ñ¡Ö·ÎÊÌ⣬ÔËÐв»Á˰¡£¬ÇóÖú¸÷λ´óÉñ
ÒѾÓÐ10È˻ظ´
matlab »Í¼ÇóÖú
ÒѾÓÐ10È˻ظ´
MATLABÖлÈýά˫¶ÔÊýͼÐεÄÎÊÌâ
ÒѾÓÐ10È˻ظ´
Çómatlab¸ßÊÖ°ïæ»¸´ÔÓº¯ÊýµÄº¯ÊýͼÏñ
ÒѾÓÐ6È˻ظ´
ÇëÎÊÈçºÎÓÃMatlab»¹¤×÷¿Õ¼äµÄÂÖÀªÍ¼
ÒѾÓÐ10È˻ظ´
ÇóÖú£ºÎÒµÄÒ»¸öMatlabÎļþ£¬µÚÒ»´Î°´F5¿ÉÒԻͼ£¬¿ÉÊÇ¡£¡£¡£
ÒѾÓÐ5È˻ظ´
ÇóÖúmatlab/guiÖлËĸö×Óͼ£¬³öÀ´µÄλÖò»¶Ô£¬Çó´ó³æ½â¾ö
ÒѾÓÐ8È˻ظ´
Çómatlab»Ò»¸öº¯ÊýµÄͼ
ÒѾÓÐ6È˻ظ´
Çë½ÌÀëɢϵͳµÄÏàͼºÍLiyapunovÖ¸ÊýÆÕʱ¼äÐòÁÐͼmatlabÔõô»
ÒѾÓÐ20È˻ظ´
°ïæ¿´¿´Õâ¸öÆ½ÃæÍ¼ÓÃmatlabÔõô»
ÒѾÓÐ19È˻ظ´
matlab×÷ÒµÄÄλ´óÉñÂé·³¸ø×öÒ»ÏÂ,Ê®Íò»ð¼±,ÖÜÎåÖ®¼äÒª½»
ÒѾÓÐ3È˻ظ´

ÔÂÖ»À¶
Ö÷¹ÜÇø³¤ (Ö°Òµ×÷¼Ò)
-

ר¼Ò¾Ñé: +1059 - Ó¦Öú: 1712 (½²Ê¦)
- ¹ó±ö: 8.888
- ½ð±Ò: 68130.7
- É¢½ð: 1938
- ºì»¨: 443
- ɳ·¢: 4
- Ìû×Ó: 4373
- ÔÚÏß: 3291.4Сʱ
- ³æºÅ: 1122189
- ×¢²á: 2010-10-14
- רҵ: ÓîÖæÑ§
- ¹ÜϽ: ¼ÆËãÄ£ÄâÇø
|
ÎÒ¿´ÁËһϣ¬rºÍRµÄ¹ØÏµñîºÏÔÚ¶¨»ý·ÖE(x)ÖУ¬¶øT*ºÍRÓÖ·ÇÖ±½ÓÏà¹Ø£¬¶øÊÇͨ¹ý r ÏàÁªÏµ¡£¶ÔÓÚº¬Óлý·ÖʽµÄ·½³Ì£¬MATLABµÄÒþº¯ÊýÇó½âº¯Êýsolve Òþº¯Êý×÷ͼº¯Êýezplot Ö±½ÓÓò»ÉÏ¡£ ½¨ÒéÄãÕÒÓи߰汾1stoptÈí¼þµÄÈË£¬°ÑÌû×Ó·¢µ½¼ÆËãÄ£ÄâÇøµÄ ¼ÆËãÄ£Äâ°æ¿é »òÕß ³ÌÐòÓïÑÔ°æ¿é¡£ |

2Â¥2014-05-03 15:00:11
luoshusen
ľ³æ (ÕýʽдÊÖ)
- Ó¦Öú: 6 (Ó×¶ùÔ°)
- ½ð±Ò: 4047.4
- É¢½ð: 62
- ºì»¨: 1
- Ìû×Ó: 667
- ÔÚÏß: 265.8Сʱ
- ³æºÅ: 1852441
- ×¢²á: 2012-06-08
- ÐÔ±ð: GG
- רҵ: ½ðÊô²ÄÁϵÄ΢¹Û½á¹¹

3Â¥2014-05-04 19:09:22
















»Ø¸´´ËÂ¥
