| 查看: 4291 | 回复: 14 | ||
曹云龙新虫 (小有名气)
|
[求助]
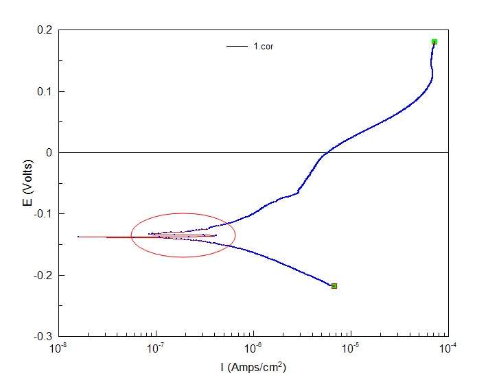
我的极化曲线为什么成了这个样子 已有6人参与
|
|
介电材料 |
» 猜你喜欢
材料专硕322
已经有7人回复
求调剂
已经有20人回复
一志愿郑州大学085600求调剂
已经有20人回复
化学调剂
已经有17人回复
3-溴吡啶-4-甲醛合成
已经有9人回复
一志愿南京航空航天大学 材料与化工329分求调剂
已经有3人回复
285求调剂
已经有9人回复
材料求调剂
已经有11人回复
调剂
已经有8人回复
材料调剂
已经有14人回复
» 本主题相关价值贴推荐,对您同样有帮助:
为什么我测的极化曲线和别人不一样
已经有12人回复
谁给我看看铝合金涂层的极化曲线是否符合防腐要求
已经有13人回复
极化曲线结果和阻抗谱结果不一致怎么回事?
已经有21人回复
电化学极化曲线图,分析求助。。。。
已经有16人回复
阻抗谱图和极化曲线
已经有7人回复
求....极化曲线 这怎么解释
已经有6人回复
极化曲线,塔菲尔数据处理
已经有6人回复
稳态极化曲线的疑惑
已经有13人回复
M2273 Tafel曲线、线性极化、动极化三者的区别
已经有7人回复
腐蚀极化曲线分析求助,谢谢
已经有6人回复
【求助】循环极化曲线怎么测
已经有9人回复
【求助】关于极化曲线的测试
已经有15人回复
【求助】请问我的交流阻抗结果怎么是这个样子
已经有11人回复
阿拉雷36
木虫 (著名写手)
- 应助: 65 (初中生)
- 金币: 16015.7
- 散金: 48
- 红花: 8
- 帖子: 1400
- 在线: 7161.7小时
- 虫号: 1612577
- 注册: 2012-02-12
- 性别: GG
- 专业: 金属材料的合金相、相变及
【答案】应助回帖
|
从表面现象来看是由于电流突变引起的,但是这个突变往往是电化学工作站内部的自动挡位切换造成的。但是不是所有档位切换会造成阶跃变化,主要在小电流处会体现,主要跟工作站的性能有关,一个是电压采集精度,与软硬件滤波有关,另外如果溶液体系不稳定带来过大的噪声,噪声信号远大于有用信号,超出工作站所能承受的能力也会出现这个问题;再个是带容性负载能力,电极及溶液实际上构成了含有电阻、电容的等效模型,如果带容性负载能力不强,适应电容变化的能力就变差,就会出现图中现象,而且严重的时候还会出现自激。 先重复一遍实验,如果还是一样,个人认为可以这样处理: 1. 实验过程中搅拌溶液,让溶液中各个产物均匀分布,间接保证系统稳定; 2. 在点击两端并联小电容,大概10p左右的,可以尝试多几个,但是会对响应速度带来影响; 3. 更换更高级的工作站尝试实验。 |
3楼2014-05-15 10:00:04
binbinitaly
铁杆木虫 (著名写手)
- 应助: 391 (硕士)
- 金币: 6153.6
- 散金: 3
- 红花: 38
- 帖子: 1403
- 在线: 237.4小时
- 虫号: 1086877
- 注册: 2010-09-01
- 性别: GG
- 专业: 金属材料的磨损与磨蚀

9楼2014-07-16 08:57:09
qinglongge
至尊木虫 (著名写手)
- 应助: 14 (小学生)
- 金币: 10757
- 散金: 28
- 红花: 5
- 帖子: 1276
- 在线: 119.8小时
- 虫号: 1427361
- 注册: 2011-10-04
- 性别: GG
- 专业: 金属结构材料
2楼2014-05-14 15:07:43
binbinitaly
铁杆木虫 (著名写手)
- 应助: 391 (硕士)
- 金币: 6153.6
- 散金: 3
- 红花: 38
- 帖子: 1403
- 在线: 237.4小时
- 虫号: 1086877
- 注册: 2010-09-01
- 性别: GG
- 专业: 金属材料的磨损与磨蚀

4楼2014-05-16 11:16:14
|
本帖内容被屏蔽 |
5楼2014-05-16 14:36:24
6楼2014-06-05 14:34:17
heaven_sight
木虫 (正式写手)
- 应助: 4 (幼儿园)
- 金币: 1466.9
- 红花: 2
- 帖子: 529
- 在线: 192小时
- 虫号: 1965471
- 注册: 2012-08-31
- 性别: GG
- 专业: 金属结构材料
|
学习了!溶解氧很重要啊!溶解氧到底会怎样影响极化曲线的线形呢?但看阴极极化曲线段呢?我看很多人发的帖子上讲,溶解氧较高时阴极段极化率比较大,譬如http://muchong.com/bbs/viewthread.php?tid=7310093&fpage=1&target=blank,望楼主赐教!不胜感激! |
7楼2014-07-15 21:45:48
heaven_sight
木虫 (正式写手)
- 应助: 4 (幼儿园)
- 金币: 1466.9
- 红花: 2
- 帖子: 529
- 在线: 192小时
- 虫号: 1965471
- 注册: 2012-08-31
- 性别: GG
- 专业: 金属结构材料
8楼2014-07-15 21:47:36
《草原的风》
至尊木虫 (职业作家)
- 应助: 854 (博后)
- 金币: 17383.8
- 红花: 102
- 帖子: 3287
- 在线: 961.2小时
- 虫号: 2536060
- 注册: 2013-07-07
- 性别: GG
- 专业: 金属结构材料

10楼2014-07-16 09:37:22














回复此楼
5