| 查看: 3730 | 回复: 57 | ||
gaojian3906金虫 (小有名气)
|
[求助]
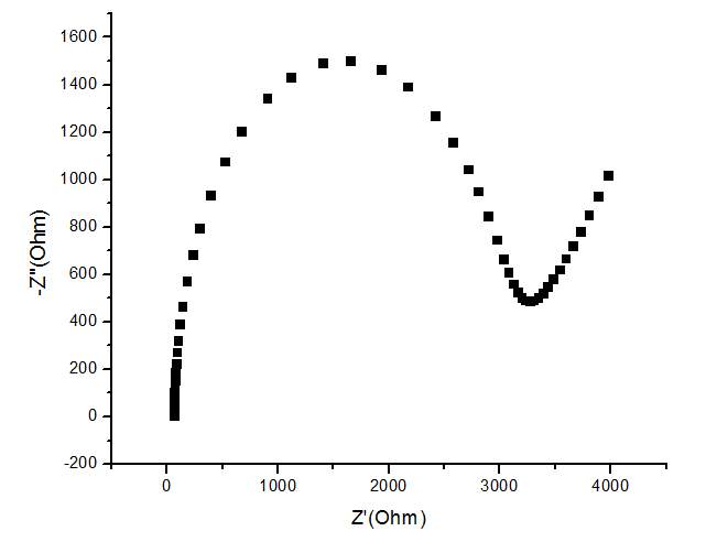
石墨烯的电化学阻抗图怎么是这样子的啊!!!!!!!!!!!!!!已有6人参与
|
|
![]() |
||
|
|
||
|
★
gaojian3906(金币+1): 谢谢参与
|
||
|
2楼2014-04-13 21:46:10
|
|
|
|
★
gaojian3906(金币+1): 谢谢参与
|
||
|
3楼2014-04-13 21:47:12
|
|
|
|
★
gaojian3906(金币+1): 谢谢参与
|
||
|
4楼2014-04-13 21:51:11
|
|
|
|
★
gaojian3906(金币+1): 谢谢参与
|
||
|
5楼2014-04-13 21:52:28
|
|
|
|
★
gaojian3906(金币+1): 谢谢参与
|
||
|
6楼2014-04-13 21:57:33
|
|
|
|
★
gaojian3906(金币+1): 谢谢参与
|
||
|
7楼2014-04-13 21:58:14
|
|
|
|
★
gaojian3906(金币+1): 谢谢参与
|
||
|
8楼2014-04-13 22:00:13
|
|
|
|
★
gaojian3906(金币+1): 谢谢参与
|
||
|
9楼2014-04-13 22:01:12
|
|
|
|
★
gaojian3906(金币+1): 谢谢参与
|
||
|
10楼2014-04-13 22:01:19
|
|













回复此楼

