24小时热门版块排行榜    

北京石油化工学院2026年研究生招生接收调剂公告
查看: 4201  |  回复: 2

缱莳霰瑜

金虫 (初入文坛)

[求助] matlab数据筛选矩阵 已有1人参与

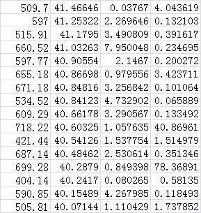
现在有一组矩阵
我想matlab编写,使得第二、三四列大于30的数据剔除,得到新的矩阵是包含有第一列的筛选后的结果。
请问该如何编辑呢?谢谢!

matlab数据筛选矩阵
1.jpg
回复此楼

» 猜你喜欢

» 本主题相关价值贴推荐,对您同样有帮助:

已阅   回复此楼   关注TA 给TA发消息 送TA红花 TA的回帖

libralibra

至尊木虫 (著名写手)

骠骑将军

【答案】应助回帖

★ ★ ★ ★ ★
感谢参与,应助指数 +1
缱莳霰瑜: 金币+5, ★★★很有帮助 2014-04-16 12:26:26
连个测试数据都不给,不要贴图,直接贴数据多好
下面是随机生成的测试数据,自己修改阀值t,会把矩阵中第2,3,4列大于t的行删除
CODE:
t = 50;
a = randi(100,10,4)
a(a(:,2)>t | a(:,3)>t | a(:,4)>t,:) = []

结果:
CODE:
a =

    74    14    56    99
     7     4    86    54
    87    94    35    71
    94    31    45   100
    99    30     6    29
    86    34    18    42
    79    47    67    47
    52    65    34    77
    18     3    90    82
    40    85    12    11


a =

    99    30     6    29
    86    34    18    42

matlab/VB/python/c++/Java写程序请发QQ邮件:790404545@qq.com
2楼2014-04-14 18:28:31
已阅   回复此楼   关注TA 给TA发消息 送TA红花 TA的回帖

tintin2005

至尊木虫 (著名写手)

谢谢,正想用这个呢!!

[ 发自手机版 http://muchong.com/3g ]
when you fee llike hope is gone,look inside you and be strong!
3楼2014-10-02 01:01:28
已阅   回复此楼   关注TA 给TA发消息 送TA红花 TA的回帖
相关版块跳转 我要订阅楼主 缱莳霰瑜 的主题更新
最具人气热帖推荐 [查看全部] 作者 回/看 最后发表
[考研] 342求调剂 +3 加油a李zs 2026-03-26 3/150 2026-03-27 00:29 by wxiongid
[考研] 调剂求收留 +7 果然有我 2026-03-26 7/350 2026-03-27 00:26 by wxiongid
[考研] 341求调剂 +7 青柠檬1 2026-03-26 7/350 2026-03-27 00:19 by wxiongid
[考研] 求调剂 一志愿 本科 北科大 化学 343 +6 13831862839 2026-03-24 7/350 2026-03-26 22:57 by 不吃魚的貓
[考研] 333求调剂 +6 wfh030413@ 2026-03-23 6/300 2026-03-26 22:45 by 学员8dgXkO
[考研] 07化学280分求调剂 +8 722865 2026-03-23 8/400 2026-03-26 20:00 by 不吃魚的貓
[考研] 22 350 本科985求调剂,求老登收留 +4 李轶男003 2026-03-20 4/200 2026-03-26 16:05 by 哇啦啦啦xtj
[考研] 材料科学与工程 317求调剂 +4 JKSOIID 2026-03-26 4/200 2026-03-26 15:58 by 不吃魚的貓
[考研] 309求调剂 +4 gajsj 2026-03-25 5/250 2026-03-26 00:27 by Dyhoer
[考研] 07化学303求调剂 +5 睿08 2026-03-25 5/250 2026-03-25 22:46 by 418490947
[考研] 一志愿南航 335分 | 0856材料化工 | GPA 4.07 | 有科研经历 +6 cccchenso 2026-03-23 6/300 2026-03-25 22:25 by 544594351
[考研] 网络空间安全0839招调剂 +4 w320357296 2026-03-25 6/300 2026-03-25 17:59 by 255671
[考研] 0703化学求调剂 +6 奶油草莓. 2026-03-22 7/350 2026-03-25 10:00 by shangxh
[考研] 调剂 +4 13853210211 2026-03-24 4/200 2026-03-24 19:44 by ms629
[考研] 一志愿山东大学药学学硕求调剂 +3 开开心心没烦恼 2026-03-23 4/200 2026-03-24 00:06 by 开开心心没烦恼
[考研] 335求调剂 +4 yuyu宇 2026-03-23 5/250 2026-03-23 23:49 by Txy@872106
[考研] 一志愿国科过程所081700,274求调剂 +3 三水研0水立方 2026-03-23 3/150 2026-03-23 23:11 by MajorWen
[考研] 269求调剂 +4 我想读研11 2026-03-23 4/200 2026-03-23 21:25 by pswait
[考研] 一志愿东华大学控制学硕320求调剂 +3 Grand777 2026-03-21 3/150 2026-03-21 19:23 by 简之-
[考研] 求调剂 +3 eation27 2026-03-20 3/150 2026-03-20 19:32 by JourneyLucky
信息提示
请填处理意见