| 查看: 1781 | 回复: 9 | ||
mashuailing木虫 (正式写手)
|
[求助]
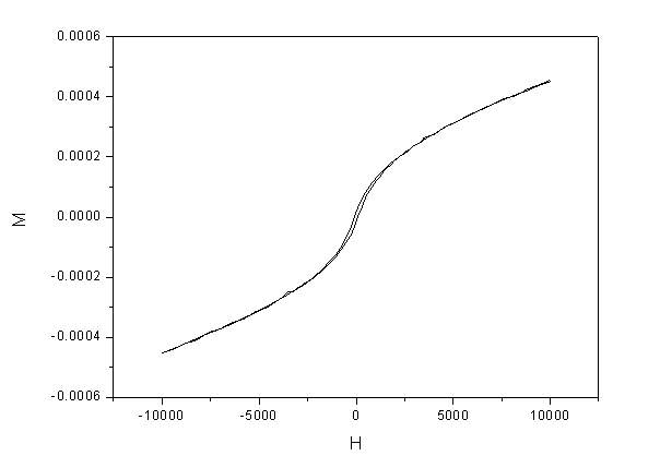
磁性测试的结果,这个是什么磁性的啊? 已有4人参与
|
|
磁性测试的结果,这个是什么磁性的啊?振动样品磁强计测出来的结果,不知道是什么磁性的啊,到底是顺磁的还是铁磁或者反铁磁的啊,刚开始看这些东西,真是看不懂啊! DUJ(I)53%[VG~EKWVBX{V@H.jpg |
» 猜你喜欢
中南大学易小艺课题组诚招2026申请-考核制博士生
已经有0人回复
海南师范大学招收化学博士(光电功能材料课题组招收博士研究生)
已经有11人回复
无机化学论文润色/翻译怎么收费?
已经有91人回复
求助几个团簇的cif
已经有0人回复
急求该反应的详细机理
已经有5人回复
【Ei | Scopus 双检索】2026年智能交通与未来出行国际会议(CSTFM 2026)
已经有0人回复
【EI|Scopus 双检索】2026年第六届机器人与人工智能国际会议(JCRAI 2026)
已经有0人回复
zotero的advanced material模板没有更新,有人有新版的cls文件吗
已经有2人回复
【高校联合举办】2026年第五届服务机器人国际会议(ICoSR 2026)
已经有0人回复
深圳大学化学与环境工程学院超分子团队招收2026级申请-考核制博士生
已经有8人回复
» 本主题相关价值贴推荐,对您同样有帮助:
磁性测量后绘图不能闭合,急!
已经有3人回复
PPMS测试的磁性数据出现类似顺磁的弯折
已经有8人回复
晶体直流磁化率说明是铁磁性的,但是测试交流磁化率的时候又没有频率依赖
已经有3人回复
反铁磁性物质测出来的磁滞回线应该是什么样的
已经有5人回复
5um磁性金属粉末TEM测试
已经有5人回复
如何应用VSM测试粉体磁性能
已经有5人回复
关于磁性能的解释
已经有10人回复
帮忙看看能否判断是否具有超顺磁性
已经有8人回复
具有顺磁性的磁性材料的磁化强度与其自身的尺寸大小有什么关系?
已经有6人回复
磁性测试结果——磁化率跟温度曲线
已经有18人回复
晶体磁性测试前,需要哪些准备?
已经有9人回复
纳米材料磁性能的测试
已经有5人回复
磁性材料中,杂散场(stray fields)是个什么概念
已经有5人回复
【请教】磁性测试中为何有顺磁性杂质的产生具体是什么啊
已经有3人回复
【求助】请各位帮忙分析下磁性分析
已经有10人回复
【求助】晶体磁性测试
已经有13人回复
【求助】请问怎样从磁滞回线判断超顺磁性?
已经有6人回复
【交流】磁性测试样品形状的要求
已经有15人回复
晶体的磁性测试需要掌握哪些知识
已经有14人回复
关于磁性测试
已经有18人回复
hold_on
金虫 (小有名气)
- 应助: 8 (幼儿园)
- 金币: 1217.4
- 散金: 175
- 红花: 1
- 帖子: 221
- 在线: 186.8小时
- 虫号: 1510981
- 注册: 2011-11-26
- 性别: GG
- 专业: 人工晶体
2楼2014-04-11 12:21:09

3楼2014-04-11 16:10:19
dog432
银虫 (著名写手)
- 应助: 38 (小学生)
- 金币: 12411.2
- 散金: 670
- 红花: 13
- 帖子: 1865
- 在线: 304.5小时
- 虫号: 2227447
- 注册: 2013-01-07
- 性别: GG
- 专业: 配位化学

4楼2014-04-11 17:39:23
mashuailing
木虫 (正式写手)
- 应助: 3 (幼儿园)
- 金币: 1003.6
- 散金: 27
- 红花: 18
- 帖子: 474
- 在线: 173.4小时
- 虫号: 2012004
- 注册: 2012-09-19
- 性别: GG
- 专业: 凝聚态物性I:结构、力学和
5楼2014-04-12 19:31:30
dog432
银虫 (著名写手)
- 应助: 38 (小学生)
- 金币: 12411.2
- 散金: 670
- 红花: 13
- 帖子: 1865
- 在线: 304.5小时
- 虫号: 2227447
- 注册: 2013-01-07
- 性别: GG
- 专业: 配位化学

6楼2014-04-14 11:21:43
784653739
银虫 (正式写手)
- 应助: 0 (幼儿园)
- 金币: 2024.2
- 帖子: 506
- 在线: 256.1小时
- 虫号: 2772893
- 注册: 2013-11-02
- 专业: 凝聚态物性 II :电子结构
7楼2014-04-20 13:17:16
风之梦
木虫 (小有名气)
- 应助: 37 (小学生)
- 金币: 5863.2
- 红花: 6
- 帖子: 278
- 在线: 352.4小时
- 虫号: 211914
- 注册: 2006-03-08
- 性别: GG
- 专业: 无机非金属材料
8楼2014-04-21 05:58:44
lfaitaoyao
金虫 (著名写手)
- 应助: 131 (高中生)
- 金币: 4753.1
- 散金: 558
- 红花: 21
- 帖子: 1977
- 在线: 212.1小时
- 虫号: 2735390
- 注册: 2013-10-18
- 专业: 人工晶体

9楼2014-04-21 09:33:12
dongshiyuan
木虫 (著名写手)
- 应助: 19 (小学生)
- 金币: 3591.6
- 散金: 468
- 红花: 30
- 帖子: 1449
- 在线: 142.1小时
- 虫号: 2652989
- 注册: 2013-09-13
- 性别: GG
- 专业: 泌尿系统结构、功能与发育
10楼2014-04-24 15:23:46













回复此楼