| ²é¿´: 1264 | »Ø¸´: 1 | |
douluhoгæ (³õÈëÎÄ̳)
|
[ÇóÖú]
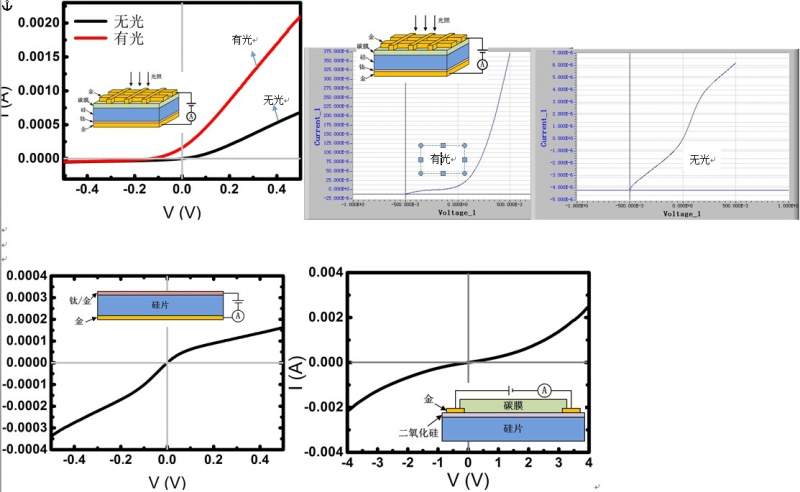
¹ØÓÚ¹è»ù̼¹¹³ÉµÄpn½áµÄ¹âÕպͰµ¹âIVÇúÏß ÒÑÓÐ1È˲ÎÓë
|
|
|
|
¹ùѵ²Æ½ð³æ (СÓÐÃûÆø)
|
|
|
2Â¥2014-05-27 23:40:16
|
|














»Ø¸´´ËÂ¥