版块导航
正在加载中...
客户端APP下载
论文辅导
调剂小程序
登录
注册
帖子
帖子
用户
本版
应《网络安全法》要求,自2017年10月1日起,未进行实名认证将不得使用互联网跟帖服务。为保障您的帐号能够正常使用,请尽快对帐号进行手机号验证,感谢您的理解与支持!
24小时热门版块排行榜
>
论坛更新日志
(626)
>
导师招生
(32)
>
虫友互识
(30)
>
考博
(18)
>
论文投稿
(17)
>
硕博家园
(16)
>
休闲灌水
(16)
>
考研
(14)
>
基金申请
(13)
>
找工作
(11)
>
博后之家
(9)
>
公派出国
(9)
>
教师之家
(8)
>
论文道贺祈福
(4)
>
留学DIY
(3)
>
健康生活
(3)
小木虫论坛-学术科研互动平台
»
化学化工区
»
催化
»
表征
»
物理吸附等温线高压区不闭合的原因
3
1/1
返回列表
查看: 582 | 回复: 2
只看楼主
@他人
存档
新回复提醒
(忽略)
收藏
在APP中查看
晓筱JGJ
金虫
(小有名气)
应助: 0
(幼儿园)
金币: 1801.5
散金: 120
红花: 3
帖子: 141
在线: 51.5小时
虫号: 2377705
注册: 2013-03-26
专业: 化学反应工程
[
求助
]
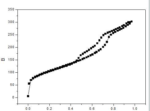
物理吸附等温线高压区不闭合的原因
已有1人参与
急求,康塔物理吸附仪,物理吸附等温线高压区不闭合,无法形成好的回滞环的原因。
NC46~[RFY`1YU}]8~2`)8@E.jpg
回复此楼
» 猜你喜欢
国家级人才课题组招收2026年入学博士
已经有1人回复
国家级人才课题组招收2026年入学博士
已经有0人回复
物理化学论文润色/翻译怎么收费?
已经有271人回复
国家级人才课题组招收2026年入学博士
已经有0人回复
大连海事大学船舶洁净能源研究中心2026年博士研究生招生启事
已经有10人回复
求 IEC 61340-4-11:2025
已经有0人回复
武汉纺织大学全国重点实验室陈嵘教授团队招收2026级学术/专业型硕士研究生(调剂)
已经有0人回复
求助哪里可以做光催化产氢的放大实验
已经有15人回复
招生帖
已经有6人回复
侯旭课题组(化学、化工、环境、能源相关方向)欢迎你的加入
已经有21人回复
» 本主题相关价值贴推荐,对您同样有帮助:
介孔材料做氮气吸附,但是脱附与吸附曲线不能闭合,求解答出错原因
已经有9人回复
请各位帮我分析下,这两个氮气等温吸脱附曲线!!!
已经有3人回复
N2吸附脱附曲线做出来了,不知道属于何种等温线及何种回滞环
已经有12人回复
吸附等温线BET模拟数据处理
已经有6人回复
II类和IV类吸附等温线的区别在哪
已经有25人回复
求助:吸附等温线和回滞环
已经有10人回复
请高人帮我看看BET吸附脱附线
已经有20人回复
【求助】怎么用origin 画出Freundlich 吸附等温线
已经有6人回复
奇怪的吸附脱附等温线
已经有18人回复
这样测得的二氧化碳吸附等温线可靠吗(附图)
已经有9人回复
关于吸附等温线的问题
已经有26人回复
天然沸石的氮吸附等温线分析
已经有7人回复
关于活性炭吸附等温线的问题
已经有11人回复
物理吸附仪吸附等温线
已经有19人回复
有哪位高人知道氮气吸附脱附等温线没有闭合是什么原因吗?有没有相关的文献
已经有1人回复
【求助】氮吸附等温线为直线
已经有6人回复
【求助】N2吸脱附表征
已经有5人回复
【求助】动态吸附等温线是什么意思?
已经有5人回复
【求助】请教关于氮气吸附等温线的问题?
已经有13人回复
冲过黎明前的黑暗,迎接快乐的曙光!
1楼
2014-04-02 15:47:30
已阅
回复此楼
关注TA
给TA发消息
送TA红花
TA的回帖
woodkeeper
金虫
(正式写手)
C-EPI: 1
应助: 142
(高中生)
金币: 6511.4
红花: 2
帖子: 436
在线: 108.9小时
虫号: 1749482
注册: 2012-04-11
专业: 能源化工
【答案】应助回帖
★ ★ ★ ★ ★ ★
感谢参与,应助指数 +1
jiangyun2: 金币+1, 谢谢回帖交流,欢迎常来~~
2014-04-03 08:53:06
晓筱JGJ: 金币+5,
★
有帮助
2014-04-08 21:30:59
从烘样的烘干程度,脱附时液氮的量是否足够,以及样管是否漏气查找。
赞
一下
回复此楼
2楼
2014-04-02 21:44:45
已阅
回复此楼
关注TA
给TA发消息
送TA红花
TA的回帖
晓筱JGJ
金虫
(小有名气)
应助: 0
(幼儿园)
金币: 1801.5
散金: 120
红花: 3
帖子: 141
在线: 51.5小时
虫号: 2377705
注册: 2013-03-26
专业: 化学反应工程
引用回帖:
2楼
:
Originally posted by
woodkeeper
at 2014-04-02 21:44:45
从烘样的烘干程度,脱附时液氮的量是否足够,以及样管是否漏气查找。
检查过了,样管不漏气,液氮的量应该够,年前这样做,没什么问题,年后就开始不闭合了,我再看看样品的烘干程度吧!谢谢
赞
一下
回复此楼
冲过黎明前的黑暗,迎接快乐的曙光!
3楼
2014-04-03 10:13:59
已阅
回复此楼
关注TA
给TA发消息
送TA红花
TA的回帖
相关版块跳转
有机交流
有机资源
高分子
无机/物化
分析
催化
工艺技术
化工设备
石油化工
精细化工
电化学
环境
SciFinder/Reaxys
我要订阅楼主
晓筱JGJ
的主题更新
3
1/1
返回列表
如果回帖内容含有宣传信息,请如实选中。否则帐号将被全论坛禁言
普通表情
龙
兔
虎
猫
百度网盘
|
360云盘
|
千易网盘
|
华为网盘
在新窗口页面中打开自己喜欢的网盘网站,将文件上传后,然后将下载链接复制到帖子内容中就可以了。
信息提示
关闭
请填处理意见
关闭
确定