| 查看: 2719 | 回复: 3 | ||
程二建金虫 (小有名气)
|
[求助]
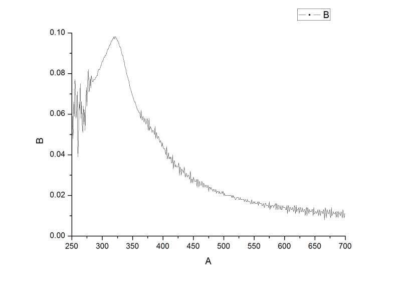
合成g-C3N4分散在水里面,然后测紫外可见吸收光谱,和参考文献不一样,求大神指教。 已有2人参与
|
g-C3N4 |
» 猜你喜欢
无机化学论文润色/翻译怎么收费?
已经有251人回复
» 本主题相关价值贴推荐,对您同样有帮助:
苯的溶液和蒸汽紫外吸收光谱为什么不同?
已经有4人回复
固体紫外 和 液体紫外光谱不一样是怎么回事
已经有12人回复
紫外可见分光光度计和紫外吸收光谱仪的区别
已经有11人回复
紫外可见光谱中吸光度为何是负值呢
已经有17人回复
金纳米棒的紫外和文献上不一样,请教!
已经有22人回复
化学浴法制备的无定型态CdS薄膜的紫外-可见光透射及吸光谱
已经有33人回复
紫外可见光吸收谱中吸收波峰波谷相对值的意义是什么?
已经有6人回复
不同的紫外分光光度计是不是测出的吸收值不一样?
已经有11人回复
【请教】制备的BiFeO3颗粒怎样测紫外可见吸收光谱
已经有27人回复
【讨论】做过紫外吸收光谱的来看一下,问题出在哪里呢?
已经有21人回复
【请教】紫外可见吸收光谱,吸收系数与吸光度
已经有19人回复
【求助】能用紫外可见光光谱仪测铜离子的吸收光谱吗
已经有20人回复

2楼2014-04-10 14:32:57
3楼2014-07-02 17:03:25
4楼2014-07-18 15:17:39













回复此楼