版块导航
正在加载中...
客户端APP下载
论文辅导
申博辅导
登录
注册
帖子
帖子
用户
本版
应《网络安全法》要求,自2017年10月1日起,未进行实名认证将不得使用互联网跟帖服务。为保障您的帐号能够正常使用,请尽快对帐号进行手机号验证,感谢您的理解与支持!
24小时热门版块排行榜
>
论坛更新日志
(3602)
>
文献求助
(408)
>
导师招生
(267)
>
虫友互识
(211)
>
休闲灌水
(96)
>
硕博家园
(88)
>
考研
(75)
>
论文道贺祈福
(71)
>
考博
(67)
>
博后之家
(60)
>
招聘信息布告栏
(54)
>
论文投稿
(50)
>
公派出国
(44)
>
绿色求助(高悬赏)
(39)
>
基金申请
(39)
>
教师之家
(35)
小木虫论坛-学术科研互动平台
»
专业学科区
»
数学
»
基础数学
»
想找同学帮忙求个积分,把剩余的金币全送了
5
1/1
返回列表
查看: 616 | 回复: 4
只看楼主
@他人
存档
新回复提醒
(忽略)
收藏
在APP中查看
leileileii
新虫
(初入文坛)
应助: 0
(幼儿园)
金币: 37.5
散金: 6
帖子: 28
在线: 125.8小时
虫号: 2119291
注册: 2012-11-10
[
求助
]
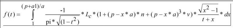
想找同学帮忙求个积分,把剩余的金币全送了
已有1人参与
图片为公式,对x积分,其他未常量
图片1.jpg
回复此楼
» 猜你喜欢
退学或坚持读
已经有28人回复
有时候真觉得大城市人没有县城人甚至个体户幸福
已经有7人回复
天津大学招2026.09的博士生,欢迎大家推荐交流(博导是本人)
已经有3人回复
面上项目申报
已经有3人回复
酰胺脱乙酰基
已经有9人回复
CSC & MSCA 博洛尼亚大学能源材料课题组博士/博士后招生|MSCA经费充足、排名优
已经有5人回复
博士延得我,科研能力直往上蹿
已经有7人回复
面上基金申报没有其他的参与者成吗
已经有5人回复
遇见不省心的家人很难过
已经有22人回复
» 本主题相关价值贴推荐,对您同样有帮助:
谁能帮忙打听到2014年同济和厦门大学临床医学统招各有多少人,100金币全送
已经有19人回复
求地质同学帮忙鉴定石料。
已经有9人回复
求懂统计的同学帮忙分析下一组数据,100金币送上
已经有12人回复
20金币求好心人帮我看下,下面的这句中文怎么翻译成英文比较好?
已经有11人回复
求助:物理学报显示被拒审的稿件(新人没什么金币,希望大家帮帮忙)
已经有3人回复
跪求能用微谱数据库的虫子们,帮忙查一下碳谱数据,本人送6个金币!!!
已经有7人回复
本人系科研小生,现欲请教查阅文献方面的方法,若遇贵人帮助,愿将金币全部赠与
已经有12人回复
审稿人要我找英语母语的人帮忙修改语法,怎么办?
已经有12人回复
关于 共轭梯度法 求助~~~好心人帮忙 有金币的哦
已经有11人回复
关于传感器电极材料的求助,了解过传感器方面知识的同学帮忙
已经有15人回复
求助投过高等合成催化(Advanced Synthesis & Catalysis)的同学,赠送20金币
已经有9人回复
求有时间的同学帮帮忙
已经有4人回复
【求助】请熟悉金属材料的同学帮忙分析下照片中断层处是什么原因造成的?先谢谢了
已经有21人回复
【求助】求考博跟博导联系的推荐信格式,多谢帮忙,好的送5个金币感谢
已经有5人回复
求投过化工进展的同学帮忙
已经有12人回复
【求助】被csc录取了,但不想去了。日语好的高手来帮帮忙!(有金币)
已经有14人回复
1楼
2014-03-18 19:59:46
已阅
回复此楼
关注TA
给TA发消息
送TA红花
TA的回帖
哎哟喂哟
金虫
(正式写手)
应助: 22
(小学生)
金币: 1034.1
红花: 4
帖子: 442
在线: 131.2小时
虫号: 2923231
注册: 2014-01-09
专业: 常微分方程与动力系统
你用matlab计算啊
[ 发自手机版 http://muchong.com/3g ]
赞
一下
回复此楼
子非鱼,焉知鱼之乐
2楼
2014-03-18 20:09:18
已阅
回复此楼
关注TA
给TA发消息
送TA红花
TA的回帖
leileileii
新虫
(初入文坛)
应助: 0
(幼儿园)
金币: 37.5
散金: 6
帖子: 28
在线: 125.8小时
虫号: 2119291
注册: 2012-11-10
引用回帖:
2楼
:
Originally posted by
哎哟喂哟
at 2014-03-18 20:09:18
你用matlab计算啊
但是我想求个解析解啊
赞
一下
回复此楼
3楼
2014-03-18 20:56:16
已阅
回复此楼
关注TA
给TA发消息
送TA红花
TA的回帖
哎哟喂哟
金虫
(正式写手)
应助: 22
(小学生)
金币: 1034.1
红花: 4
帖子: 442
在线: 131.2小时
虫号: 2923231
注册: 2014-01-09
专业: 常微分方程与动力系统
引用回帖:
3楼
:
Originally posted by
leileileii
at 2014-03-18 20:56:16
但是我想求个解析解啊...
我没有计算,是不存在解析解吗
[ 发自手机版 http://muchong.com/3g ]
赞
一下
回复此楼
子非鱼,焉知鱼之乐
4楼
2014-03-18 21:22:23
已阅
回复此楼
关注TA
给TA发消息
送TA红花
TA的回帖
peterflyer
木虫之王
(文学泰斗)
peterflyer
数学EPI: 10
应助: 20282
(院士)
金币: 146012
红花: 1374
帖子: 93091
在线: 7694.3小时
虫号: 1482829
注册: 2011-11-08
性别: GG
专业: 功能陶瓷
【答案】应助回帖
★ ★ ★ ★ ★
感谢参与,应助指数 +1
leileileii: 金币+5,
★
有帮助, 好的,我试试
2014-03-19 00:47:14
这个积分通过令x=1/Cosθ,可化成Sinθ、Cosθ的有理分式的积分。再通过令y=tg(θ/2)就可积出解析式了。
赞
一下
回复此楼
5楼
2014-03-18 22:54:13
已阅
回复此楼
关注TA
给TA发消息
送TA红花
TA的回帖
相关版块跳转
数理科学综合
机械
物理
数学
农林
食品
地学
能源
信息科学
土木建筑
航空航天
转基因
我要订阅楼主
leileileii
的主题更新
5
1/1
返回列表
如果回帖内容含有宣传信息,请如实选中。否则帐号将被全论坛禁言
普通表情
龙
兔
虎
猫
百度网盘
|
360云盘
|
千易网盘
|
华为网盘
在新窗口页面中打开自己喜欢的网盘网站,将文件上传后,然后将下载链接复制到帖子内容中就可以了。
信息提示
关闭
请填处理意见
关闭
确定