| 查看: 1347 | 回复: 5 | |
liaobudenan木虫 (初入文坛)
|
[求助]
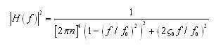
频响函数表达式已有2人参与
|
|
|
|
yzgang25金虫 (正式写手)
|
|
![]() |
|
|
2楼2014-03-18 10:16:35
|
|
liaobudenan木虫 (初入文坛)
|
|
|
3楼2014-03-19 17:44:07
|
|
liaobudenan木虫 (初入文坛)
|
|
|
4楼2014-03-19 17:44:42
|
|
zhenwuhuang至尊木虫 (文学泰斗)
|
【答案】应助回帖
★ ★ ★ ★ ★ ★ ★ ★ ★ ★
感谢参与,应助指数 +1 liaobudenan: 金币+10, ★有帮助, 谢谢,虽然没有解决我的问题,但是还是感谢!! 2014-03-20 12:07:31 |
|
5楼2014-03-19 18:11:44
|
|
|
6楼2015-01-06 12:38:10
|
|














回复此楼
liaobudenan
