| ²é¿´: 2183 | »Ø¸´: 1 | ||||
xueyiran2007ͳæ (СÓÐÃûÆø)
|
[ÇóÖú]
LammpsÖÐÈçºÎÌí¼ÓеÄÊÆº¯Êý ÒÑÓÐ1È˲ÎÓë
|
|
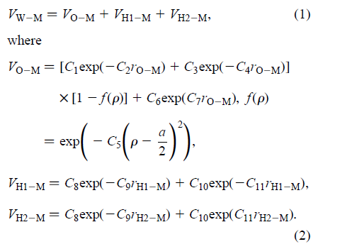
ÇëÎʸ÷λ´óÉñ£¬ÈçºÎʵÏÖÏÂͼµÄÊÆº¯Êý ÁíÍ⣬ÓÐûÓдúÂëʵÏÖÁ½¸öÊÆº¯ÊýÏà³ËµÄ£¿ÎÒÖ»ÖªµÀpair_style hybrid¿ÉÒÔʵÏÖµþ¼Ó |
» ²ÂÄãϲ»¶
288Çóµ÷¼Á£¬Ò»Ö¾Ô¸»ªÄÏÀí¹¤´óѧ071005
ÒѾÓÐ5È˻ظ´
Ò»Ö¾Ô¸Öйúº£Ñó´óѧ£¬ÉúÎïѧ£¬301·Ö£¬Çóµ÷¼Á
ÒѾÓÐ5È˻ظ´
294Çóµ÷¼Á²ÄÁÏÓ뻯¹¤×¨Ë¶
ÒѾÓÐ12È˻ظ´
0856µ÷¼Á£¬ÊÇѧУ¾ÍÈ¥
ÒѾÓÐ5È˻ظ´
0817 »¯Ñ§¹¤³Ì 299·ÖÇóµ÷¼Á ÓпÆÑоÀú ÓжþÇøÎÄÕÂ
ÒѾÓÐ13È˻ظ´
Áº³ÉΰÀÏʦ¿ÎÌâ×é»¶ÓÄãµÄ¼ÓÈë
ÒѾÓÐ11È˻ظ´
¸´ÊÔµ÷¼Á
ÒѾÓÐ6È˻ظ´
0703»¯Ñ§µ÷¼Á £¬Áù¼¶Òѹý£¬ÓпÆÑоÀú
ÒѾÓÐ11È˻ظ´
321Çóµ÷¼Á
ÒѾÓÐ10È˻ظ´
¶«»ªÀí¹¤´óѧ»¯²Äרҵ26½ì˶ʿ²©Ê¿ÉêÇë
ÒѾÓÐ8È˻ظ´
» ±¾Ö÷ÌâÏà¹Ø¼ÛÖµÌùÍÆ¼ö£¬¶ÔÄúͬÑùÓаïÖú:
Çë°ïæ¿´Ò»ÏÂlammpsÖÐÊÇ·ñÓÐÕâ¸öÊÆº¯Êý£¿
ÒѾÓÐ3È˻ظ´
lammpsÊÆº¯ÊýСÒÉÎÊ
ÒѾÓÐ5È˻ظ´
¹ØÓÚMSÁ¦³¡±à¼
ÒѾÓÐ11È˻ظ´
clayffÁ¦³¡Ôõôµ¼Èëdiscover
ÒѾÓÐ12È˻ظ´
DL_POLY ÈçºÎÌí¼ÓеÄÊÆº¯Êý
ÒѾÓÐ6È˻ظ´
lammpsÄ£ÄâÖÐÓÐÄÄÐ©ÊÆº¯Êý
ÒѾÓÐ3È˻ظ´
ÇëÎÊÊÆº¯ÊýÔÚlammps¹ÙÍøÖÐÔõôÏÂÔØ£¿
ÒѾÓÐ6È˻ظ´
ÈçºÎÔÚlammpsÀï¼ÓÈëеÄÊÆº¯ÊýÐÎʽ£¿
ÒѾÓÐ6È˻ظ´
¡¾ÇóÖú¡¿LAMMPSÖзÇÖÜÆÚÐԱ߽çÌõ¼þºÍBorn-Mayer-HugginsÊÆº¯Êý²»»áÉèÖÃ
ÒѾÓÐ4È˻ظ´

lsloneil
ר¼Ò¹ËÎÊ (ÕýʽдÊÖ)
-

ר¼Ò¾Ñé: +49 - Ä£ÄâEPI: 2
- Ó¦Öú: 148 (¸ßÖÐÉú)
- ½ð±Ò: 8640.9
- É¢½ð: 507
- ºì»¨: 30
- Ìû×Ó: 505
- ÔÚÏß: 598.4Сʱ
- ³æºÅ: 556471
- ×¢²á: 2008-05-11
- ÐÔ±ð: GG
- רҵ: ÀíÂۺͼÆË㻯ѧ
- ¹ÜϽ: ·Ö×ÓÄ£Äâ
¡¾´ð°¸¡¿Ó¦Öú»ØÌû
¡ï ¡ï ¡ï ¡ï ¡ï ¡ï
¸Ðл²ÎÓ룬ӦÖúÖ¸Êý +1
ÔÂÖ»À¶: ½ð±Ò+1, ¹ÄÀø½»Á÷£¡ 2014-03-11 18:32:58
xueyiran2007: ½ð±Ò+5, ¡ïÓаïÖú 2014-03-14 11:17:23
¸Ðл²ÎÓ룬ӦÖúÖ¸Êý +1
ÔÂÖ»À¶: ½ð±Ò+1, ¹ÄÀø½»Á÷£¡ 2014-03-11 18:32:58
xueyiran2007: ½ð±Ò+5, ¡ïÓаïÖú 2014-03-14 11:17:23
|
http://lammps.sandia.gov/doc/Section_modify.html#mod_10 ǰÌáÊÇÄãµÃ¶®Ò»µã»ù±¾µÄc++ |
2Â¥2014-03-11 13:14:44













»Ø¸´´ËÂ¥