| 查看: 3088 | 回复: 4 | ||
[求助]
fluent能量方程源项的问题 已有1人参与
|
|
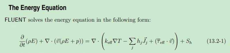
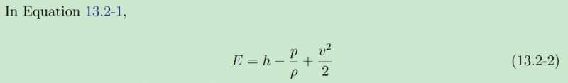
我看到fluent help 6.3文档中,heat transfer这一章说,fluent求解的能量方程是如下形式: 其中 那是不是说,我自己的方程需要先变换成这种形式,然后右边的源项用UDF定义 还是说我要把左边都换成以h为变量的形式,剩下的都挪到右边,在源项中定义呢? |
» 猜你喜欢
拟解决的关键科学问题还要不要写
已经有8人回复
26申博
已经有3人回复
存款400万可以在学校里躺平吗
已经有22人回复
最失望的一年
已经有4人回复
国自然申请面上模板最新2026版出了吗?
已经有19人回复
请教限项目规定
已经有3人回复
基金委咋了?2026年的指南还没有出来?
已经有10人回复
基金申报
已经有6人回复
推荐一本书
已经有13人回复
疑惑?
已经有5人回复
» 本主题相关价值贴推荐,对您同样有帮助:
编程模拟流体运动,源项是否有什么公式来计算啊
已经有3人回复
用UDF编写化学反应热作为源项
已经有12人回复
fluent中在壁面条件处定义一个面的源项?
已经有13人回复
udf添加能量源项
已经有3人回复
学习fluent udf
已经有5人回复
fluent udf请教
已经有16人回复
fluent udf的应用
已经有20人回复
全部身家求大神帮忙解决fluent压力脉冲怎么编写UDF的问题
已经有8人回复
F_T(f,t)使用有限制吗
已经有5人回复
动量源项加载问题
已经有3人回复
【求助】FLUENT UDF 气液两相流 汽蚀 汽化潜热(问题详见内容)
已经有21人回复
UDF添加动能源项,发现温度没什么变化
已经有20人回复
fluent中的体热源加载问题(实际上是热流密度,不是热生成率)
已经有19人回复
FLUENT源项UDF非稳态迭代的一个疑问请教
已经有8人回复
UDF源项的一个疑问
已经有14人回复
请教一个关于闭合回路环流的fluent模拟问题
已经有17人回复
fluent迭代流动曲线呈直线状态
已经有6人回复
【求助】能量方程震荡
已经有9人回复
【求助】请问Fluent中如何简单地添加流动区域各坐标下的动量源项?
已经有16人回复
030301029
捐助贵宾 (正式写手)
- 应助: 76 (初中生)
- 金币: 2203.4
- 散金: 306
- 红花: 8
- 帖子: 890
- 在线: 122.3小时
- 虫号: 563419
- 注册: 2008-05-25
- 专业: 化学反应工程
2楼2014-02-26 10:46:31
3楼2014-02-26 10:56:37
030301029
捐助贵宾 (正式写手)
- 应助: 76 (初中生)
- 金币: 2203.4
- 散金: 306
- 红花: 8
- 帖子: 890
- 在线: 122.3小时
- 虫号: 563419
- 注册: 2008-05-25
- 专业: 化学反应工程
4楼2014-02-26 11:09:55
5楼2014-02-26 11:32:42













回复此楼
奔跑鱼